Community Tip - Visit the PTCooler (the community lounge) to get to know your fellow community members and check out some of Dale's Friday Humor posts! X
Hello,
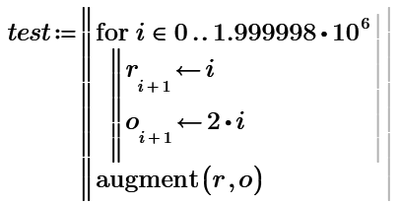
From what I can see, the number of plotted points that can be displayed by the plot is limited at about 1.999998*10^6 points.
The idea is that I want to extract from this matrix:
test(0) and test (1) from 5000001 - 2000000 = x
and then plot the values of test(0) and test(1) from 3000001 to 5000001, and not how it is now happening that the plot is taking the first 2000000 values for test(0) and test(1) from 0 to 2000000 and above these values the plot fails.
Also the starting range for i in the for loop I want to remain at 0:
Solved! Go to Solution.
The error message "less than 2000001" is CORRECT!
Note that your first plot (loop from 0 to 1999998) consists of exactly 2000000 data points and NOT 1999998.
The loop creates 1999999 points but because of the strange way you assign the values with index i+1, there is an additional data point (0;0).
You may use rows(test)= to confirm,
BTW, what would be the sense of trying to display that many points in a plot? Guess your screen resolution would not be able to cope with it anyway, So you can't really see all the points even if you are especially sharp eyed.
Normally it would make more sense to either zoom in (by using submatrix()) or to thin the data by only using every n-th value.
There is an even more severe limitation of Prime's plots: If the plot consists of more than 49999 points you are not allowed to set line width or different symbols but the dot.
The error message "less than 2000001" is CORRECT!
Note that your first plot (loop from 0 to 1999998) consists of exactly 2000000 data points and NOT 1999998.
The loop creates 1999999 points but because of the strange way you assign the values with index i+1, there is an additional data point (0;0).
You may use rows(test)= to confirm,
BTW, what would be the sense of trying to display that many points in a plot? Guess your screen resolution would not be able to cope with it anyway, So you can't really see all the points even if you are especially sharp eyed.
Normally it would make more sense to either zoom in (by using submatrix()) or to thin the data by only using every n-th value.
There is an even more severe limitation of Prime's plots: If the plot consists of more than 49999 points you are not allowed to set line width or different symbols but the dot.
