1-Visitor
December 21, 2021
Solved
Units problem
- December 21, 2021
- 1 reply
- 1471 views
i use the same units and still tell me that units are not compatible.
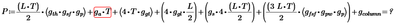
You're adding expressions that can't be added because they have different units.

Prime flags the second part as error, but I think the error may be in the first part.

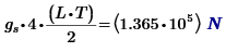
That's not Newton, whereas:





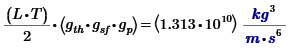
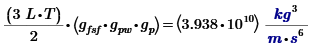
Most of the other are in N, except:

I guess there are errors in your formula for P. Maybe you need to add the three g-terms instead of multiplying them...?
Success!
Luc
Enter your E-mail address. We'll send you an e-mail with instructions to reset your password.