Version : PTC MathCAD Prime 9.0.0.0
So, I had a problem statement in one of my bridges where I had depth as varying (basically z coordinate value with a certain formula that could be followed).
So, here I used a constant formula which could be used for all points of vertex needed in z cordinate which I defined as various variables that it picked automatically. And worked & I could get my function sorted. where I stored my variable values reading from excel which then used this formula for all z coordinates and formed as we move along x axis.
So this basically is the solved one
Now, my new problem statement in which I am using my same sheets, is that I have different varying values both in y and z coordinate which will be reading from my excel sheet. But the formula is not same for each point of vertex or cross section i.e., y and z coordinate points (different formula).
The y & z values have to use the formula's as below for each y & z coordinate
Now, I have stored these variables i.e.,
where,
variable data gets read from same excel. and cbsdata reads
to have 1 cross section value at certain location as master cross section.
Now, the constant formula in z coordinate the first one which is solved was written like this
It picks the variable data from excel, is called here and formula made here which uses for each point of z coordinate to form polygon but also, changes variable as we move in the x direction (length).
Also, for constant polygon points, it is used to write in this way in my earlier work
Problem is : I am trying to find a way to write my new problem statement in such a way that my variable values (s1, s2, s3, h1, h2 and others) are already stored and called by me in my current mathcad sheet which takes value as we proceed every 2m along x. It should interpolate in between and form the bridge and cross sections.
I want it to make the formula to be taken for each point of z coordinate and y coordinate as screenshot is shown for all the formula's i.e.,
This formulation to be made for polygon in there and then it should pick these variable values as we move along xber. And form various cross section and interpolate and form the structure.
Can the community help, I am stuck ?
Attaching below :
Input data sheet : indata
Mathcad sheet that has my problem statement that needs to be resolved : A Förutsättningar
Mathcad sheet that has one problem already solved (same formula for all points of polygon but variables) : A Förutsättningar_solved
The code is written in this
And further can be found from page 6,7 in both sheets where concrete cross section is mentioned.
Solved! Go to Solution.
Hu,
For completeness you need to send me balksnittrafter.xlsx to get span information.
Cheers
Terry
Ri,
There must still be something I am missing in terms of files,
Here is the graph on opening the file without calculating. Looks OK
Here is what happens when I press calculate. Pmo is missing. zeros function is missing
Cheers
Terry
Hey
Here is the zeroes call
I made it in my toolbox
Pm0 is showing in this calculation sheet
Please see. 🙂
Thanks
Hi,
OK have entered zeros and ones function which has got me P.m0.Analys
But under this is the definition of Pm0 derived from Pm0.Analys
I do not have the function in red. RCmatchX( , )
At the top of the spreadsheet I found that *.xlsm is used for the excel file names but I have been supplied *.xlsx files.
You will need to adjust any sheet I send you to match what the excel sheets are named on your system.
Sorry it has taken so long have other things to finalize
Cheers
Terry.
Actually they are .xlsm's as well. But because I cannot upload the .xlsm file here in PTC mathcad, so I have copied everything from my macro enabled excel to normal and uploaded. I am reuploading it, please just change the file types of respective .xslm files to .xlsm.
So, the .xlsm's are :
Bilaga A and tendons excel sheet, please just change the extension of these 2 files. Data is same, for uploading here I saved and uploaded as .xlsx
Rest indata and balksnittkrafter is .xlsx only. BilagaD we will not be needing at this point as it comes later.
I have reattached latest Mathcad file as well.
The functions that I have used for that particular problem are:
zeroes call
As well as
RCmatchX
Hi,
Hard to read the RCmatchX function.
Please can you copy it from RCTools to a new worksheet containing only RCmatchX and upload it.
Would save a load of typing on y part.
Cheers Terry
Hey
Please find, I have written that function next to the graph.
Thanks have got the function you have saved some time.
Cheers
Terry
Welcome 🙂
Thanks
Hey
Any update ?
Regards
Hi,
OK sorry for the late reply but have been working on a research project.
Page 49 in draft right hand margin.
Can complete a graph for each individual tendon given its tendon number direct from the read excel data without going through Pm0
Individual tendons is easier to look at results.
It is simple to interpolate this to xber. Will do this later.
Now it is simple to loop the individual tendon method to all tendons.
Same for all tendons but some extra lines in the graph. Not sure if this is errors in the data or plotting errors? I suspect it is in the data.
Cheers
Terry
Hi,
Have progressed a bit further.
tendon data from the excel prestress table duplicates values
It can be seen in the table below 94.118m data is repeated.
Have written a small program to delete the duplicates
It can be seen the duplicates are eliminated.
.
This produces a better plot as only single unduplicated points.
Now ready to interpolate at xber.
Cheers
Terry
Hi,
Page 51 in right hand draft area.
Tendon Force interpolated by xber without Pm0 above earlier graph.
Cheers
Terry
Hi,
Realize it is also necessary to interpolate the y and z values of the cables to xber.
Done in following file.
Cheerrs
Terry
Thankyou. Let me look at it. Actually, I was getting the values already. However, not in an output excel. Still my output excel remains empty. I will look at it. But thanks for the duplicate value prompt.
Let me check how it aligns with my further sheets.
I will update you. If it is resolved or I encounter any further error in the process ahead.
Thanks Terry
Hey
I have checked and made some adjustments to the original sheet. I am able to work on my problem statement now. I can make varying any property as per 81 variable points from my excel. And interpolate or use my function like multiplespan upto xber=1041 values.
However, I am stuck in this problem in one of my sheets where, although my function is working
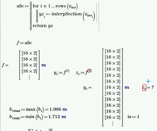
to remove non effective parts from polygon. Here I am reading my width paramters like b1,b2,b3, y1,y2,y3 as per i = 1...xber which is 1041 values.
But in this function, I can only do it with one cross section that it reads as yc,zc,ys,zs
Now, if I givesome variable as j=1...LMvar (81 points). It makes 81 (yc,zc) polygon points in a 16*1 matrix (total 81 matrix).
As I can understand, my original function is able to take only 16*1 = 1 matrix and 1 set of points (16) for each yc zc.
It is unable to read a matrix and interpolate as well as unable to use array of matrix in this function even if we resolve to make 1041 values of y and z coordinate matrix interpolated .
So, I want this function to take all cross section points as per xber (1041).. as we move it should interpolate and take the cross section points (16*1) matrix formed for each point.
I.e., first we somehow make interpolated yc,zc points as 1041 matrix of 16*1
And then by someway call and assign each one in this loop so it picks and remove non effective parts from each 1041 points and return me values.
I am unable to figure this out. Can you please help in this? Thankyou
Below attaching that mathcad sheet and all excel and mathcad sheets that we might need for this.
Although currently this function is working because I have stored yc and zc as single 16*1 matrix polygon points. But We need to change this function as per the problem statement above.
You can find this function on Page 21 of B2 Mathcad sheet. And a similar function at Pg 24 of this sheet.
Thankyou.
P.S: In this B2 only at the top, you will find, I am calling y coordinates from this
and z coordinates from
And calling b1,b2,b3,be1eff,b2eff,b3eff like this. And also, calculated mean valued b1m,b2m,b3m.
Also, as I cannot attach .xlsm macro enabled here. So, I have just changed the file format to .xlsx for the ones needed.
Please just save the ones mentioned here as .xslm as the same from .xlsx. Material remains same.
Please let me know if anything else is needed from my end.
Looking forward to some solution.
Thanks
Hi,
I need numVal.mcdx to get xber?
Cheers
Terry
Hi,
Add these three lines to the program on page 21 to get the section dimensions at each xber
If I adopt this approach. It affects my other things.
For example, this way I called my varying c/s here at top on Page 1
It affects my plotting and hence, results and thus loops ahead.
I have done nothing just used same approach in B1 and also it affects B2 as well as I am changing my yc zc initially itself and not just in that function which should be the correct case.
The function used is just above it in input.
It uses the same excels. Please if you can see.
Thanks
Hi,
License for Prime 9 is expiring soon. Will not for various reasons be reinstated till March some time, Thus will not be able to help during this time.
Program at top for yz produces a single column vector of nested arrays hence it has no second column.
Cheers
Terry
