Community Tip - Did you get an answer that solved your problem? Please mark it as an Accepted Solution so others with the same problem can find the answer easily. X
hi - I'm trying to limit the maximum and minimum value in a vector to with a clamping function.
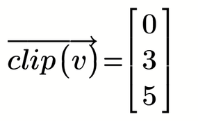
In my file the vector is to be limited to a minimum of zero and maximum of 5. Can anybody help me find out what I am doing wrong?
Newbie alert - be kind please 🙂
thanks, Ian
Solved! Go to Solution.
No need to vectorize v because its already a vector 😉
You have to vectorize the whole function call. That way the elements of the vector argument v a fed singly into the function which is what you want to happen:
No need to vectorize v because its already a vector 😉
You have to vectorize the whole function call. That way the elements of the vector argument v a fed singly into the function which is what you want to happen:
Ahhh, Brilliant !!
Many thanks Werner_E - you're on my Christmas card list 🙂
