7-Bedrock
September 28, 2023
Solved
director cosines
- September 28, 2023
- 3 replies
- 2197 views
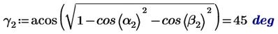
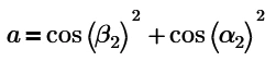
Good morning friends of the group, sorry if my questions are easy, but I'm new to Mathcad. I don't know how to solve this type of equation, I would like the answer to be in degrees.The answer must be 120º.









