Community Tip - Did you get an answer that solved your problem? Please mark it as an Accepted Solution so others with the same problem can find the answer easily. X
Good morning friends of the group, sorry if my questions are easy, but I'm new to Mathcad. I don't know how to solve this type of equation, I would like the answer to be in degrees.The answer must be 120º.
Solved! Go to Solution.
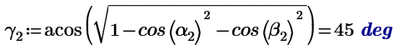
So, the answer seems to be 45 deg (at least with your above given equation for calculating ), not 120 deg...
Are you sure that the answer must be 120 deg?
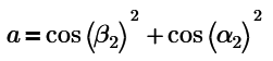
So, the correct formula for y2 is:
where:
So, the answer seems to be 45 deg (at least with your above given equation for calculating ), not 120 deg...
Are you sure that the answer must be 120 deg?
So, the correct formula for y2 is:
where:
TKS
Your calculation formula for y2 in your Mathcad file was wrongly derived...see my above post
Some additional remarks:
The symbolics does not know anything about units, it does not know deg or °. This is the reason why the symbolic result shown on Cornels answer still includes the expressions cos(60°), etc.
If you like you can redefine the used units at the top of the sheet (maybe in a collapsed region)
Now the symbolic result looks less ugly (and of course its in radian, not degree)
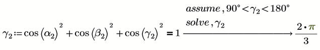
Your equation has an infinite number of solutions and if you know in which range you are looking for the solution (maybe between 90° and 180 °) you can tell Primes symbolics (using the "assume" modifier) to give you just the needed solution
If you have (re)defined the unit ° as explained above, you can also use degree in the assume modifier (the result will always be shown in radiant)
thank my friend for the brilliant explanation. Thank you
