Community Tip - Did you get an answer that solved your problem? Please mark it as an Accepted Solution so others with the same problem can find the answer easily. X
I can define this function and it works. What I cannot do is the partial derivative with respect to some of the independent variables, written as a component of a vector. Any suggestions?.
I want to do the derivative with respect to
and he writes me this
Solved! Go to Solution.
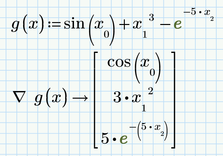
Unfortunately the Nabla operator is of no help here. It can only be used for scalar valued functions like
but it fails here as the function given by @hegel returns a 2x2 matrix:
It is a great pity and a major shortcoming that Prime is generally not very good at dealing with vector functions and thus the partial derivative according to a vector component is not possible.
A clumsy workaround could be this (assuming that the input function f() is for good reason defined as a vector function and not as a function with three separate arguments and also assuming that the partial derivatives should be assigned to vector functions as well):
Prime 9 worksheet attached
Prime can do it BUT it's not pretty, and it's not elegant.
The derivative function won't let me use an index subscript. If you define a function of three variables you can beat it to death!
There used to be a gradient operator . . .
Have you checked the gradient operator?
Success!
Luc
Unfortunately the Nabla operator is of no help here. It can only be used for scalar valued functions like
but it fails here as the function given by @hegel returns a 2x2 matrix:
It is a great pity and a major shortcoming that Prime is generally not very good at dealing with vector functions and thus the partial derivative according to a vector component is not possible.
A clumsy workaround could be this (assuming that the input function f() is for good reason defined as a vector function and not as a function with three separate arguments and also assuming that the partial derivatives should be assigned to vector functions as well):
Prime 9 worksheet attached
wonderful, thank you a lot
