Community Tip - Visit the PTCooler (the community lounge) to get to know your fellow community members and check out some of Dale's Friday Humor posts! X
Hello, can anyone help me write this in mathcad prime? Can't seem to place "otherwise" in my equation
Use an "else" instead of "otherwise".
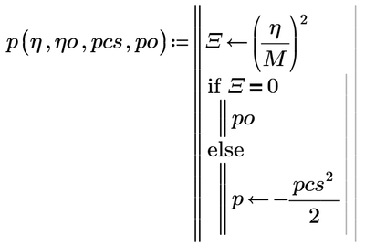
It would look like this:
Some remarks:
So it could also be written as
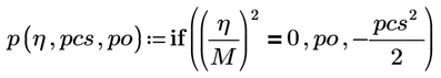
And if you like you may also use the if-function instead
And because program execution exits after a "return" statement, you may also write
One more option:
If you have the (original) mathcad ( .mcd or .xmcd) file that contains the function, then use Prime's built in converter to translate it to Prime.
Success!
Luc
