Community Tip - Did you get an answer that solved your problem? Please mark it as an Accepted Solution so others with the same problem can find the answer easily. X
Its a long standing wish that Mathcad should be able to deal with vectors of functions but as it seems in vain.
Here is another workaround which does not require you to redefine your integral function. Still unneccessarily awkward.
The problem is: From Mathcads point of view, f is NOT a vector, but the result f(t) is a vector.
So you cannot write f[1(2)= (you get a multiplication sign after f[1), but you can write f(2)[1=
Its a long standing wish that Mathcad should be able to deal with vectors of functions but as it seems in vain.
Here is another workaround which does not require you to redefine your integral function. Still unneccessarily awkward.
The problem is: From Mathcads point of view, f is NOT a vector, but the result f(t) is a vector.
So you cannot write f[1(2)= (you get a multiplication sign after f[1), but you can write f(2)[1=
Here is a variant of the above which only can be evaluated symbolically
or that way
Thank you very much.I understood your way.Do you know how to take derivative (not symbolically) from vector function without iteration through all components of vector function?
@ifomenko wrote:
Thank you very much.I understood your way.Do you know how to take derivative (not symbolically) from vector function without iteration through all components of vector function?
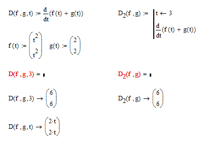
Not sure what exactly you mean. Something like in the pic below? Otherwise you would have to provide an example.
Note, that you have to rerly on symbolics if the combined function does not return a scalar, but a vector (thats also the case with the integral)
I mean the following
I guess there is no more elegant way as according to thge docs the argument of the derivative operator has to be a scalar valued function. It doesn't work on vector functions.
There is a more elegant (shorter) way:
Success!
Luc
Guess I'm lacking some knowledge...
Luc
Ah, found it: f2(t) *g2(t)=3*t^2+2*t^3.
