Community Tip - New to the community? Learn how to post a question and get help from PTC and industry experts! X
Hello,
I have no idea why this isn't working. It says "can't evaluate to boolean". Could you help me please? I'm really stuck.
You mean like this?
Maybe you forgot to define m?
Note that m MUST be defined, if not:
Which (version of) (which type of) Mathcad are you using?
Success!
Luc
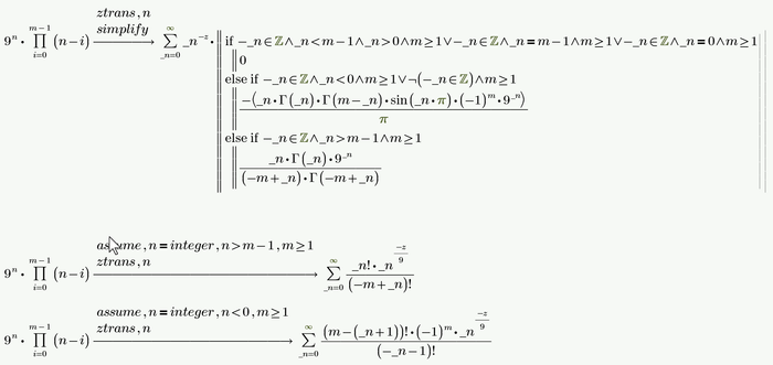
In cases like this it often helps to tell Mathcad a little bit more about the variables used (like n being an integer or m being greater than 1, etc.). Unfortunately this does not really help much in your case:
It simply means that the symbolic core is not powerful enough to accomplish the task you are giving it.
As Luc has shown you can get a result for specific values of m - this is also true in Mathcad 15 (which I guess is the version you are using):
Luc uses Mathcad 11 which has Maple as symbolic core which normally outperforms the symbolic (muPad) in newer versions of Mathcad. Maybe he can give it a try using the appropriate assumptions.
Mathcad's symbolic core is not very powerful compared to software like Maple or Mathematica.
With version Prime 6, PTC has introduced a new symbolic core (probably for licensing reasons), which in many respects is still significantly less powerful than the old one, but can score particularly well in the case of your example:
Mathcad 11:
I think it is remarkable that n appears in the result.
Thanks Werner!
Luc
I already suspected that Maple in Mathcad would come to a result.
The n in the transform puzzles me, too. To the best of my knowledge it shouldn't be there ??
Our good friend WolframAlpha knows "n^9*Product (n-i) i=0..m-1", and correctly interprets it. Note that the Pochhammer symbol is used in the result.
It also knows "Z-transform n^9". The result is an expression without n.
And understands "Z-transform (Product (n-i) i=0..m-1)". Here too, the result is an expression without n.
But when I combine the two under the Z-transform, it suddenly doesn't understand what I mean.
Luc
Hi,
When Mathcad gives "sibylline" answers then it is better to get busy in this sense:
 
					
				
				
			
		
