Question
All distances of the points on the sphere to be Integer
All distances of the points on the sphere to be Integer
n=2, r=0.5, l=1 (0.5,0,0),(-0,5,0,0)
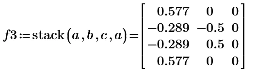
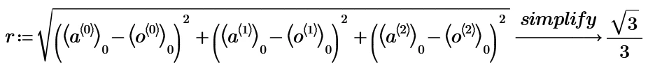
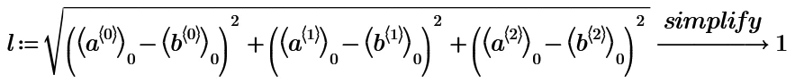
n=3, 



All distances of the points on the sphere to be Integer
n=2, r=0.5, l=1 (0.5,0,0),(-0,5,0,0)
n=3, 



Enter your E-mail address. We'll send you an e-mail with instructions to reset your password.