Community Tip - When posting, your subject should be specific and summarize your question. Here are some additional tips on asking a great question. X
Hello everyone,
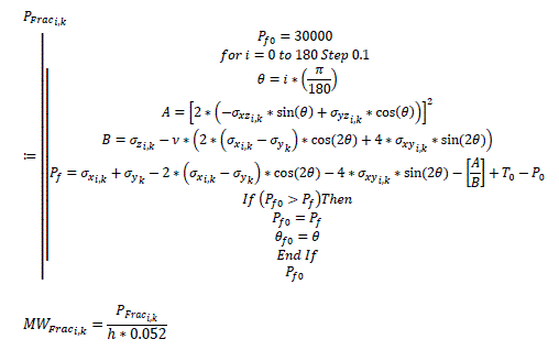
I want to write equations using the codes in the inserted images. Please which tools in PTC Prime used for writing in these images? How to write this code?
Regards
Use programming. Look up info and examples in the Help info and then start to implement your two programs. You should be able to program them almost as shown in your pictures.
In case of problems, come back here, attach your Prime worksheet with a clear indication of the problem you are facing, for help.
Success!
Luc
