Community Tip - You can change your system assigned username to something more personal in your community settings. X
Hello Everyone.
From :
To :
How to calculate Area of Parametric (closed) Curve, the above ? ( MathCad 15 )
Thanks in advance.
Regards.
Loi
Solved! Go to Solution.
While this problem is solvable with calculus - there are tricks to doing it other ways that can come in handy for other less mathematical shapes. Shoelace formula (Surveyor's formula) works just using coordinate points. Something Werner taught me years ago.
---------------------------------
I'm getting better.
Attachments don't work OK at the time, we just see "Virus scan in progress..." and can't download the attachment.
I already notified @admin and @PTCModerator yesterday but so far there was no reaction - its weekend 😞
Your curve may look like a cardioide on first glance, but it isn't
Actually what you show is part of a larger curve with the parameter representation
and you get the curve you show for t running from 0 to pi
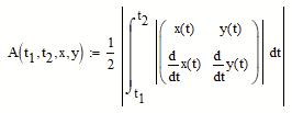
To calculate the area enclosed you can use Green's theorem which possibly should be attributed to C.F.Gauß.
Using the parameter representation shown above and the limits 0 and pi for the parameter t, we get the enclosed area with
Yes, Khoros has rolled out a fix, but said there may be a few edge cases where the issue persists, but they should have it fully resolved soon.
Thanks for the information.
I seem just to have stumbled over one of those edge cases when I tried to attach a file here: https://community.ptc.com/t5/Mathcad/How-to-generate-an-output-table/m-p/1046866/highlight/true#M219892
When I chose "Browse" the usual file selection window pops up and I can select the file to upload. But when I do so and the windows closes no file was attached at all 😞 There was no error message or anything else indicating that something went wrong other than the file not showing up in the area of
Not sure if the admins can see the (not) attached file.
The file I tried to attach was an mcdx file created by Prime 10.0.1.0.
I zipped the file and the zip file finally was accepted.
I remember that the first time with Khoros files created by Mathcad or Prime were not accepted as attachments at all and it always was necessary to put them into archives. On the other hand others today seem to were able to attach mcdx files .... ?
While this problem is solvable with calculus - there are tricks to doing it other ways that can come in handy for other less mathematical shapes. Shoelace formula (Surveyor's formula) works just using coordinate points. Something Werner taught me years ago.
Yes, and in fact, the shoelace formula can also be traced back to C. F. Gauß! -> Shoelace formula - Wikipedia
He really was simply a genius.
Yes, it's handy for other less mathematical shapes, DJF. Also, many thanks to NickKemaev, AndrewK and Werner.
I thought that, as you usually do, you would look for an exact symbolic solution.
You can also represent your curve in polar coordinates, which makes calculating the area even easier:
Thanks for your suggestion, Werner. But I'm new to polar coordinates so I still confuse about the identical (coincided) shapes between red shape and blue shape :
Thanks again.
Regards.
Without negative radii it actually is that way
Many, many thanks for your explanation, Werner. 😊 🙄 🤔. . . I got it. Now,they seems to be coincided ...
or :
Now I have to say again : Tha...n...ks... , Werner.
Regards.
