Community Tip - Did you get called away in the middle of writing a post? Don't worry you can find your unfinished post later in the Drafts section of your profile page. X
Hello Experts,
Somehow I am getting error in Mathcad Prime but it used to work with my 14 application
@JM_10241707 wrote:
Hello Experts,
Somehow I am getting error in Mathcad Prime but it used to work with my 14 application
Unfortunately, I've only got Mathcad Prime Express 8, so can't check your worksheet. However, I note that "H" is highlighted. I know it's got Variable style, but it might be worth checking if you have "units in symbolics" enabled (a Calculation ribbon option). If so, does disabling it make a difference? (H is Henry).
Stuart
I want to use H as variable and not as UNIT. Is there any reason why this is failing?
@JM_10241707 wrote:
I want to use H as variable and not as UNIT. Is there any reason why this is failing?
Did you check whether the use units in symbolic flag was set? Does unsettling it make a difference?
Another thing to try is using clearsym to ensure that H is treated as a purely symbolic name.
Stuart
I tried that but it still the same error
Thank you for engaging . The value entered in prime is not required to be instated in Mathcad 15. See attached
Why we need to enter values in prime?
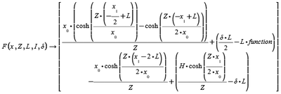
This is your Mathcad 14 file:
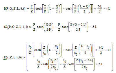
And this is what you have in Prime 8:
Note that in the second function of F you have an H that should be an x[0
That is one thing you need to fix.
Then, symbolic evaluation of F itself gives:
Which demonstrates that Prime 8 has a bug where it fails to see I as a parameter to the function F, it is confusing it with the function I() that you defined above.
Finally you're running into autolabelling problems. Make sure all your variables are labelled as a variable, and your functions are labelled as a function, then see what happens.
I got this:
I'm afraid this does not make you happy.
Success!
Luc
It looks like the symbolic evaluation of the "Jacob" function got broken in Prime and needs to be fixed.
See these threads:
https://community.ptc.com/t5/PTC-Mathcad/Jacobian-matrix/m-p/783414
