We are aware of an issue causing pages to load incorrectly for some users and expect a fix soon. Sorry for the inconvenience.
Hi guys
new here
I have worked with mathcad a few times, but never with very complex sheets
I'm trying to do a calculation sheet for the Cross laminated timber (CLT) gamma values, which are used to accound for weak layers in a laminate.
I have been able to create the matrices, but in a non automatic way. I'd like to be able to make the sheet build them automatically, with the correct size for the given niumber of layers.
The PDF from ProHolz provides the calculation on page 5-7, and the indices are already given for placement in the matrix.
But I cant get it to work, I always have an issue with the indices i-1 when its the first line, cause the indices simply don't exist for 0...
Basically I want to just write down the number of layers, and the dimension, but then it should be automatic
the Matrix V and vector S always vary in size depending on the number of layers
or use a trick like this, because once the matrices are build, I could just use the right one, but for a 3 layer -composition, the matrices V5-7-9 are not defined, therefore blocking the calculation...
Any help would be appreciated!
Thanks a lot!
Jezza
Solved! Go to Solution.
Some remarks:
1) It might be easier to input the values for the thickness vector "t" and the vector theta (which is not used so far in your sheet) not singly but as vectors (start with Ctrl+M an then; Shift+Enter inserts a new row).
This also avoids errors like this in your sheet 😉
You may also consider to limit the value of "n" to the number of rows in "t" to avoid any errors if someone inputs a value of "n" larger than the number of values inputted in "t"
2) To check for exact values it often does not suffice to display the values with the maximum of 15 decimals. You may display the difference of the calculated vector and the vector of exact values (you can use copy and paste) to see even smaller round off errors:
3) You still have a range "k" defined just for the calculation - probably because the calculation I suggested would not work with the vector "t" being larger than the vector z, which depends on "n".
After vector t is defined and after the number "n" of used layers id defined (and probably corrected to be an odd number larger than 1 and not larger than the number of rows in "t") you could trim the vector "t" according to "n":
So you can get rid of the last range variable "k" and use the trimmed t-vector for the calculation of the new vector "z".
Subtraction of t/2 and rounding could be done in one go:
4) Calculation of values and displaying the results in one single region often works OK.
However, Prime can sometimes produce strange effects and even errors—especially in combination with matrices.
For this reason, I have gotten into the habit of separating the calculation and display of values - just to be on the safe side.
If you don't have any follow up questions, you may consider closing the thread.
Wish you a nice Christmas semester break!
Next time you ask here you should clearly say which version of Prime you are using. This is especially important if you don't use the latest version as otherwise you may get a solution file you can't open.
I strongly would advise to avoid using a myriad of range variables to do the various calculations. In my opinion they are failure prone and much less clear as programs using for-loops. Especially the quite creative way to separate vector values with odd and even indices.
The attached sheet should help and should work with any (odd) number of layers, not limited to 9.
(Due to a current bug in the forum software I had to zip the file before being allowed to attach it here)
Hey man!
thanks a lot, your solution is sick, way shorter than anything I hoped for!
i changed it slightly to correct some point that you implimented juste based on my sheet, but they were unsuccesfull tris to fix issues that I had.
I changed again to have the possibility to input any value for the layers, as it need to work with any buildup, not always 40-20 layers.
You're a legend mate, thanks!
I can enjoy my christmas semester break without worrying about this anymore🤣
Some remarks:
1) It might be easier to input the values for the thickness vector "t" and the vector theta (which is not used so far in your sheet) not singly but as vectors (start with Ctrl+M an then; Shift+Enter inserts a new row).
This also avoids errors like this in your sheet 😉
You may also consider to limit the value of "n" to the number of rows in "t" to avoid any errors if someone inputs a value of "n" larger than the number of values inputted in "t"
2) To check for exact values it often does not suffice to display the values with the maximum of 15 decimals. You may display the difference of the calculated vector and the vector of exact values (you can use copy and paste) to see even smaller round off errors:
3) You still have a range "k" defined just for the calculation - probably because the calculation I suggested would not work with the vector "t" being larger than the vector z, which depends on "n".
After vector t is defined and after the number "n" of used layers id defined (and probably corrected to be an odd number larger than 1 and not larger than the number of rows in "t") you could trim the vector "t" according to "n":
So you can get rid of the last range variable "k" and use the trimmed t-vector for the calculation of the new vector "z".
Subtraction of t/2 and rounding could be done in one go:
4) Calculation of values and displaying the results in one single region often works OK.
However, Prime can sometimes produce strange effects and even errors—especially in combination with matrices.
For this reason, I have gotten into the habit of separating the calculation and display of values - just to be on the safe side.
If you don't have any follow up questions, you may consider closing the thread.
Wish you a nice Christmas semester break!
Hi Werner_E
I worked on the sheet again, and your help was amazing really!
i just have a problem with this
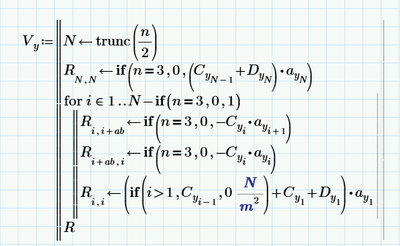
is there a way to define gamma_y when the needed matrixes are not defined? I tried different thing with IF and else, but mathcad always evalutes the whole expression, and returns an error when something is not defined. is there a way around this? I know that when n=3, the matrix will be undefined, and would like to simply define gamma_y as a 1x1 matrix of value [1]
If you have a solution, I would be very happy! but I understand, from what I've read, it may not be simple, or I'm dumb
Why should Vy be undefined?
It has to be defined if n<>3 anyway,
You could (re)define Vy and Sy to be both [1] in case of n=3 so you automatically get the result [1].
Or even better: Define thes two variables that way right at the top of the sheet.
If they are redefined later, its OK, If they are not, they have their value and you get the desired result [1].
Of course this does not work if you redefine Vy and let one of the elements undefined. But then, why would you do so?
because it cannot be mathematically defined in case n=3... and i need [1] for further calculations
is there not a way to make mathcad ignore undefined values in a if or for loop?
Thanks!
is there not a way to make mathcad ignore undefined values in a if or for loop?
No and I also don't know of a reliable way to determine if a variable is defined or not.
You will have to find another way to deal with your problem.
If in case of n=3 the matrix and vector can't be calculated, why not use an if-branch in their calculation and set them to [1]?
thanks for the tip! I managed it, looks kinda crude, but works!
You could use
if n=3
return [1]
(or whatever the return value in case of n=3 should be)
in front then then go on with your calculation without considering the case n=3.
No 'else' is required as a 'return' statement terminates the program immediately, so no other program lines will b executed.
Hello @JD_10468629,
It looks like you have some responses from a community champion. If any of these replies helped you solve your question please mark the appropriate reply as the Accepted Solution.
Of course, if you have more to share on your issue, please let the Community know so other community members can continue to help you.
Thanks,
Vivek N.
Community Moderation Team.
