CLT Gamma calculation
- December 13, 2025
- 1 reply
- 675 views
Hi guys
new here
I have worked with mathcad a few times, but never with very complex sheets
I'm trying to do a calculation sheet for the Cross laminated timber (CLT) gamma values, which are used to accound for weak layers in a laminate.
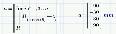
I have been able to create the matrices, but in a non automatic way. I'd like to be able to make the sheet build them automatically, with the correct size for the given niumber of layers.
The PDF from ProHolz provides the calculation on page 5-7, and the indices are already given for placement in the matrix.
But I cant get it to work, I always have an issue with the indices i-1 when its the first line, cause the indices simply don't exist for 0...
Basically I want to just write down the number of layers, and the dimension, but then it should be automatic
the Matrix V and vector S always vary in size depending on the number of layers

or use a trick like this, because once the matrices are build, I could just use the right one, but for a 3 layer -composition, the matrices V5-7-9 are not defined, therefore blocking the calculation...
Any help would be appreciated!
Thanks a lot!
Jezza







