Help with symbolic calculation
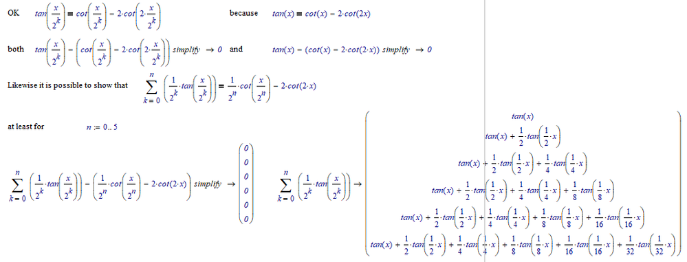
I have tried to solve this summation with symbolic calculation but it does not give me an answer:

If I give a value to n, I get an answer:

Which keyword or modifier should I use to get a response without giving a numeric value to n??
Would appreciate any help to solve this problem.

