Community Tip - Did you know you can set a signature that will be added to all your posts? Set it here! X
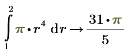
I finded the answer for the exercise but I don't know how plot a 3D for the solid of revolution of answer.
You can plot the surface using CreateMesh.
To plot a solid of revolution use the CreateMesh function.

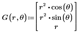
could we use g(u)*cos(v) instead of just r*cos(), and if we can how we can plot it in 3d? in Mathcad prime
Certainly. Just make sure you define the function g() and provide proper ranges for u and v.
Success!
Luc
Thank you Luc Meekes
do you mind graphing the above graph using the build in function in the matrix, with g(u)*cos(v) in Mathcad prime?
Thank you ttkoro
@rking-2 wrote:
I finded the answer for the exercise but I don't know how plot a 3D for the solid of revolution of answer.
Prime cannot plot solids, just 3D-surfaces.
Here is how I would suggest to do it:
The left picture shows the result out of the box using Primes autoscaling, in the right pic I fiddled around changing the axis limits and spacing to simulate equal scales on all axis and I also added "labels". You'll have to notice that in Prime what look like the axis unfortunately are NOT the axis of the coordinate system. There seems to be no way to force those "axis" to cross at the origin - this option is only available for 2D-plots.
You may simulate a solid body by modelling and adding the two circular disks at the ends.
But if only the parabola rotates around the x-axis, no solid is created anyway.
Prime 6 sheet attached
Thank you so much Werner_E, i will work on it today with different two regions and see what happens
