Community Tip - When posting, your subject should be specific and summarize your question. Here are some additional tips on asking a great question. X
In this way:
But right now I inserted manually 1x1 matrix element.
So, giving a scalar value like (or any scalar value):
expm function to be able to transform this scalar into 1x1 matrix element. Is it possible like this to add something like that in the above expm function? Or I need to be careful and put manually the 1x1 matrix element like above when I want to perform a calculation with this expm function with scalar values?
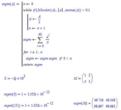
You can use the function IsScalar(), like this:
Success!
Luc
In (express) Prime your function could be:
then:
gives:
and:
gives:
Success!
Luc
Works also with your first suggestion also in Prime:
if A is a scalar, simply turn it into a 1x1 matrix
