Community Tip - You can subscribe to a forum, label or individual post and receive email notifications when someone posts a new topic or reply. Learn more! X
Dear all,
Sorry for this simple question , I am just a new user in this software.
I would be grateful if someone can help me to know how to derive the trigonometric equations without getting a solution as in the attached thread. In other words, instead of driving the trigonometric equations as per attached, the software does this for me. Thanks in advance
Solved! Go to Solution.
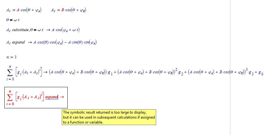
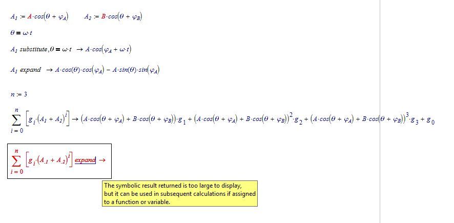
You mean like this?
Note that the last equation runs more than 5 pages to the right!
Success!
Luc
It's not clear what you're asking for. Your first two jpg's have no equations, the last only has three; there's no discussion about the series. You can do this:
Firstly, Thanks for your reply,
I have a polynomial equation as in 1.jpG. I just want to use the PTC MathCad to do the whole steps as in 3.jpg rather than doing it by myself. Does this software do like this or not? Thanks inadvance
You mean like this?
Note that the last equation runs more than 5 pages to the right!
Success!
Luc
Dear Luc,
Thank you so much for your reply.
Yeah, this is exactly what I want. Would it be possible to send the steps that you have done? Thanks in advance
The mathcad file is attached. That's all there is (to it).
If you use Mathcad 15 (or any other version above 13) the symbolic results will be (more or less) different, but should be equivalent.
If you use Prime, you'll have to convert the sheet, or rewrite it yourself. I'm limited to Prime express = No symbolics.
Success!
Luc
If you use Mathcad 15 (or any other version above 13) the symbolic results will be (more or less) different,
You say it - more or less 😞
Yeah, I got this as well. Any advice??
@Azam wrote:
Yeah, I got this as well. Any advice??
That depends on what your intention is. Why would you do this.
If your goal is just to SEE the result (Luc already posted that is 5 page widths long and what would the benefit of being able to look at it be?!), I guess there is no solution.
Mathcad simply refuses to display results which are longer than ... (don't know what the limit depends on).
But as Mathcad writes you still can assign it a function an use it for further calculations.
Prime, BTW, will show the very same effect, too.
Thanks Werner for this clarification,
Actually, i need to see it all. It is important for me to see all the expansion but with odd number for n (n=1,3,5,7).
Thanks again
With Mathcad 11 I can set a (Windows) register variable that controls how large symbolic results may be displayed by Mathcad. I can stretch that fairly large, beyond where it becomes uncomfortably large (and slow). In other versions of Mathcad (and all versions of Prime) that control is non-existent, or at least it doesn't work.
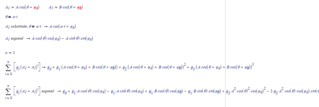
In your case, what you can do is expand the sum term by term. Sort of what you did in picture3...
Success!
Luc.
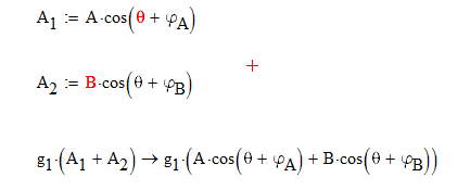
> I have a polynomial equation as in 1.jpG
1.jpg is NOT showing an equation (or am I missing the equal sign?), just a mathematical term. A sum with an unknown number of n+1 summands.
Later you obviously assume n=3 without telling so!?
And what you are looking for is an expansion of that term, substituting for A1 and A2 the trig terms in your pic3.
Is this what you are looking for??
But then your third pic seems to omit g0 and g2 and its factors and also it looks like it uses ther terms g_k*(A1^k+A2^k) instead of g_k*(A1+A2)^k as shown in the first pic.
Furthermore your third pic does not show any equal signs so its not clear what you a showing or "simplifying" here. Its still unclear what you are looking for.
Keep in Mind that Mathcads symbolic capabilities are rather basic compared to software like Maple or Mathematica. Its often hard to impossible to get it to display a result exactly the way you have it in mind.
I guess it will not possible to "simplify" sin^3(x) to something like 1/4*(3*sin(x)-sin(3x)) but nonetheless Mathcad is able to do it the other way round:
