Community Tip - Did you get called away in the middle of writing a post? Don't worry you can find your unfinished post later in the Drafts section of your profile page. X
Hi,
Prime symbolic engine treats units as variables.
Use numeric engine for units
Hi,
Prime symbolic engine treats units as variables.
Use numeric engine for units
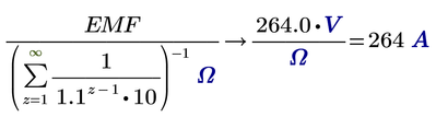
Terry workaround using the numerics and a finite sum up to 5000 should be quite sufficient for most applications, I guess. So I consider it the best solution and the preferred way to go, avoiding the symbolic evaluation completely.
Just for fun here some other ways to get the final unit. But let me first say that if you use units in conjunction with symbolic evaluations, you should turn on this option:
It doesn't help a lot but at least a little bit. You can tell from the color that now V, etc. in the output of the symbolic evaluation are seen as units.
Nonetheless the symbolics still does not know that volt/ohm=ampere.
If you like, you can instruct the symbolics about this connection (but I would consider it too much of a hassle)
If you want to use the "exact" symbolic evaluation because you want use the infinite sum, you can either follow the symbolic evaluation by a numeric one
or you may assign the result to a variable and evaluate that variable in an extra region (would be my preferred way to do it).
In case you are wondering why the "exact" symbolic just gives you with 264.0 a numeric float result instead of the pure 264 (=240*11/10). This is because you use a float number (1.1) in your expression. As soon as you do so, the symbolic engine switches into some kind of numeric float mode (similar to what you get when you use the modifier "float").
There is no way to change this other than avoiding float numbers:
or
If you want an exact result, use the symbolics properly:
So this complicated sum to infinity reduces to a simple quotient.
Success!
Luc
