Community Tip - Did you get called away in the middle of writing a post? Don't worry you can find your unfinished post later in the Drafts section of your profile page. X
I wanted to create the Y BUS matrix from Netlist and solve that to get currents and voltages of each node.
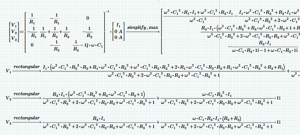
For this i need to know how to solve the AX=B in matrix format, if all matrices(A,X and B) having variables only,
I want X in terms of Varibales(eqn)
Please check the 29th page of this pdf:
http://www3.imperial.ac.uk/pls/portallive/docs/1/7292571.PDF
Solved! Go to Solution.
You may possibly be able to do what you are looking for, but as long as an expression contains an unknown/undefined variable you obviously can't evaluate that expression or function numerically (that means using the normal =).
Hi,
you just use:-
Regards
Terry
Hi,
I will try this post again to get the graphic:
You just use:-
Cheers
Terry
Please check the attachment, that one i am not able to solve
Hi,
The inverse of a matrix times the matrix is the identity matrix (all zeros except diagonals being one)
Cheers Terry
Please check attachment.
why the same inverse is not working in program?, but outside its working fine,
Hi,
Symbolic outside of the program does not need x and y to be defined to work.
Numeric inside the program needs x and y defined as numerical values to calculate the inverse.
Cheers
Terry
@BB1 wrote:
Please check attachment.
why the same inverse is not working in program?, but outside its working fine,
It will work OK inside a program. too, but only if you evaluate the program symbolically, not numerically.
Do you really need a general symbolic solution? It looks a bit uncomfortable:
Wouldn't do a numerical solution do the job good enough?
You may either use the matrix approach or a solve block with the original node equations.
Thanks for your answer, please check the attachment.
The first two are giving properly and last one is not solving, am i missing anything or it cant solve??.
I need the answer for last one in program, Nett(FF).
Thanks In advance.
Always post the worksheet, not just pictures!
Why don't you just define Nett(B):=B^-1
Guess you don't need a global definition
Then you could use Nett(FF)->
As long as FF contains unknown variables you cannot evaluate your function Nett numerically.
You may possibly be able to do what you are looking for, but as long as an expression contains an unknown/undefined variable you obviously can't evaluate that expression or function numerically (that means using the normal =).
