Community Tip - If community subscription notifications are filling up your inbox you can set up a daily digest and get all your notifications in a single email. X
Hi there!
I'm trying to solve, in general, one equation that is important to me.
The idea is to find through my Mathcad Prime 9.0.0 the extremum value of a parameter in symbolic representation.
Here, I faced some "wall barrier" for solving due to the famous discouraging phrase as
"The symbolic result returned is too large to display"...
What was previously done:
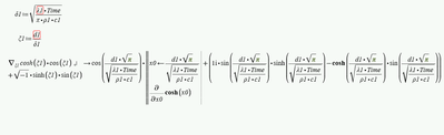
1. The simplification of each step of the calculation formula was performed, but the final point was to calculate the Zee matrix...
Mathcad didn't want to represent the particular calculus step, and I was deeply stuck, with no idea how to solve my issue.
My objective in this step is to solve the derivative equation when I set the k1 value (Internal area heat capacity) equal to zero by only two variables (width of the layers d1 and d2, respectively) to find by such derivative equation to obtain a maximum of k1 value in the general case depending on two variables (width of the first layer d1 and d2 respectively).
The attachment has two files (MathCAD Prime 9.0.0) that probably could shed light on the problem - the work solution for particular initial data and the symbolic unsolved.
I would appreciate any information regarding the math and help you can give.
Solved! Go to Solution.
@LucMeekes Thank you for the guidance, but even when used in Matchcad 15, the attached file, after being proceeded, also has no solution:
So, as far as I got from the Maple benefit's description, the possible way to solve my equations is to get used to Maple
It may help to omit the units when using symbolic calculations.
If you use units with symbolic calculations, it may help to turn on this option and let the sheet recalculate:
I also noticed that in your definition of matrix Z none of the units are labelled as being a unit (bold blue). This may make the symbolics think that variable W and unit W are two different variables, which sure can blow up the result.
@Werner_E, thanks. I'll try to use this tip to omit the unit issue.
By substituting units and switching off the units button as you suggested, nothing has changed...
Attached is what I had in mind when I wrote about omitting the units. Its also not necessary to introduce new variables A, B, C ... - just use th original names. Actually your 'variable' A is not a variable, but the unit Ampere! You can tell as its displayed bold and blue.
Additionally you don't need to evaluate each expression symbolically. Don't mind the red errors - they stem from the numeric engine complaining that variables are not numerically defined and this does not interfere with the symbolic calculations later.
In the attached sheet I used the symbolic evaluation only when I defined function k1(d1,d2). That's necessary as otherwise we would have to define all variables which depend on d1 and d2 as functions in these two variables.
At the end I try to solve the system we get when we set both partial derivatives of k1 to zero.
I could not wait for the calculation to finish, so I saved the file and cancelled the calculations. Maybe you have more patience and luck. But I fear that Prime will not be able to come up with a solution - not sure, though.
I must confess that I am not very confident that you will be able to come up with a genereic symbolic solution for the maximum of k1 but I'd be happy to be proven wrong...
@Werner_E Thank you.
I understand Prime doesn't perform well at finding extremum solutions to matrix Math. I'm also still waiting for my modified equation
to be resolved, but it seems that Mathcad won't be able to do it, or smth like this..🤔
PS I tried to find "simplier" equation symbolically - d1 from the equation, but unsuccsefully...
Even when I substitute dzetta 1 and dzetta 2 as variables the picture still the same...
but, when I tried to find the derivative of simpler equation z11 it worked. And it pretty good, meanwhile...
Prime's Symbolic is certainly not at the level of Maple, Mathematica or even MatLab.
Mathcad started as a number cruncher and the symbolics was just added later (but it was state of the art Maple at that time).
Prime's strength are number crunching, the whiteboard interface and the handling of units. Symbolic calculations should be seen as a nice addition but nothing more.
When solving equations Prime may have to make same case distinctions which often means that the result is displayed using an if .. then.. construction. If this is happens in the case that the solution is too large to display, you are lost as you can't access individual parts of the solution. If the solution is a normal matrix you can assign it a variable ("sol" in my sheet) and try to access individual elements. If you have luck, Prime will allow to display them (maybe with the help of "simplify" or "simplify, max").
That was also the reason of my rows(sol) and cols(sol) statements with symbolic eval - to see if the result is a true matrix or not.
But all in all its a game of trial an error. The straight way was sketched in my sheet, but I guess the symbolics will not be able to handle it.
@Werner_EI guess Maple or Mathematica would be the tools I should use to handle my issue...
Thank you for your comprehensive answer.
Try
@ppal Thank you, but it also was tried ( I compound the Z matrix in such a manner)...
I'll try to insert the simplified equations into the formulae.
Apparently you have these Prime worksheets by conversion from (real) Mathcad (version 15 or less) worksheets.
Did they 'work', that is, find the symbolic solution?
Success!
Luc
@LucMeekes wrote:
Apparently you have these Prime worksheets by conversion from (real) Mathcad (version 15 or less) worksheets.
Did they 'work', that is, find the symbolic solution?
Success!
Luc
My guess is that the original sheet which was converted was the one with the numerical calculated values and the symbolic sheet is a new attempt to find a symbolic solution using that sheet as a template.
@LucMeekes, I did calculus from scratch in Mathcad 15 and converted the file into Prime afterwards due to the system reinstalling to Win10.
Observing the references in ISO 13786: "[5] Carslaw and Jaeger. Conduction of Heat in Solids, Oxford University Press, section 3.7, 1959"
I would approach it symbolically this way:
and further...
Success!
Luc
@LucMeekes, thanks for your attempt to help with the issue.
if I understand your point, did you simplify each matrix component and represent delta and dzetta values as functions from variables?
Whether the function has no extremum point(can't find the solution at first derivative =0),
or Machcad can't cope with the calculus of symbolic equations, as @Werner_E noticed...
I looked up the original expressions for the heat transfer in the referenced source document to find a more compact description of the matrix Z, because I did not want to type those large expressions.
The simplify,exp statements actually rewrite the simplified expressions out to those large expressions that appear in the ISO standard.
I did that to confirm that the Z matrix is correct.
Attached is my Mathcad worksheet. You're welcome to convert it to Prime and see how far you get. (I cannot do that, I'm limited to express.)
Success!
Luc
Mathcad (11) takes too long to write out the expressions for k1 and k2. I guess Prime will not be able to do that either, let alone determine their derivatives. But it is possible to create 3D plots of the expressions:
The units on the d0 and d1 axes are cm.
Success!
Luc
@LucMeekes It looks pretty good, but I cannot understand the "plateau" region at the surface.
As I got, k1 directly depends on the layer variable parameters, their widths—d1 and d2, respectively.
Nevertheless thank you for your attention and assistance.
@LucMeekes Thank you for the guidance, but even when used in Matchcad 15, the attached file, after being proceeded, also has no solution:
So, as far as I got from the Maple benefit's description, the possible way to solve my equations is to get used to Maple
