Community Tip - Did you get an answer that solved your problem? Please mark it as an Accepted Solution so others with the same problem can find the answer easily. X
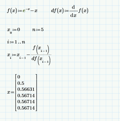
As Newton-Raphson is essentially numeric there is little point in using a symbolic equals. Just stick with numerics.
Here is my equivalent using Mathcad 8 Express:
Alan
Chage xi-1 - and -> to =
As Alan I am asking what the idea of a symbolical evaluation of the intermediate results of a numerical approximation algorithm might be!!
Whats wrong with
BTW you had a wrong sign in your implementation of the Newton algorithm. See Alan's approach for a correction.
Here is the (unsimplified) symbolic result with four iteration steps.
Are you sure that you really want to see the result for 5 or more steps? 🙂
Using "simplify" or "simplify, max" may give you a more compact result at the cost of a lot of coffee to drink while waiting for the calculation to finish.
But again, what's the sense of displaying those results symbolically?
If you really need to see the symbolic representation of the fifth iteration step, here it is
And for an exact symbolic result
😄
So, Thank you all for your comments and vigilance. It's fine and enough in this case to display results in numerical form.
Thank you.
