Community Tip - Did you get an answer that solved your problem? Please mark it as an Accepted Solution so others with the same problem can find the answer easily. X
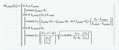
I have defined every variable except for Lb. I thought with it being defined as an independent variable in the function, Mathcad would understand to vary it from 0 to basically infinity. If not, how do I define Lb to work like that. Thanks.
Solved! Go to Solution.
Primes so called "quickplot" (where you do not define the independent abscissa argument) only works for unit-less variables.
Once you use units you also have to provide your own range for this variable. To define a range with units, you must provide its first, second and last value as ttokoro had shown.
Furthermore on the ordinate you do not just place the function name but you have to write MnA992(Lb). You have to type the parentheses yourself as the parentheses in the plot are for the desired units only.
P.S.: In future questions remember to attach your worksheet whenever possible!
Before your plot you should do,
Primes so called "quickplot" (where you do not define the independent abscissa argument) only works for unit-less variables.
Once you use units you also have to provide your own range for this variable. To define a range with units, you must provide its first, second and last value as ttokoro had shown.
Furthermore on the ordinate you do not just place the function name but you have to write MnA992(Lb). You have to type the parentheses yourself as the parentheses in the plot are for the desired units only.
P.S.: In future questions remember to attach your worksheet whenever possible!
