Community Tip - If community subscription notifications are filling up your inbox you can set up a daily digest and get all your notifications in a single email. X
How can I plot a circle in the X-Y plane, only knowing the radius and location of the circle center?
I have Mathcad Prime 8.0.
Solved! Go to Solution.
Thank you! That was easy.
One more request. Is there a way to modify the above where there is a circle intercept at (0,0) ?
Thanks for your help.
@Snowshoeman wrote:
One more request. Is there a way to modify the above where there is a circle intercept at (0,0) ?
Thanks for your help.
I am not sure what you mean. If you know the center of the circle and if you demand that (0,0) should be a point of the circles circumference, you sure are able to calculate the circle radius and so can use the very same approach which was shown to you.
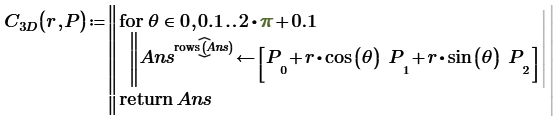
Here is a circle function I often use when I have to draw a circle.
You may use it to draw partial circles
to draw regular polygons
or to play around and create mandala like pics
Prime 9 worksheet attached
Sorry.... I was not clear. I mean that one point on the circle will be at (0,0) with a center in Quadrant 1 at a point (x,y).
Yes, I had already suspected that and therefore suggested calculating the radius (as the distance between the two points, with Pythagoras, r= sqrt(x^2+y^2)) and then using the method already suggested or the function I posted to draw the circle.
Thank you! I will try to plug in your equations. I have Prime 8.0 so I could not use it directly.
This this bit of programming [NaN NaN} ? Looks like the first trial bombed. I am a novice at programming. See attached.
[NaN NaN] makes pen off for the plot line.
Thanks!!
Hope this helps:
BTW, you sure can use 400 points to make the circle but you would be surprised that even much less points make up a quite good representation of a circle as well.
Thank you! It works!
Bob
Werner,
Update: If I resolve the point as a radius, then compare that radius to the radius of the circle, the problem is solved I believe.
In relationship the above math, is there a boolean or math routine to determine if a X-Y point is inside or outside the circle? Can suggest a tack to take to solve this problem?
@Snowshoeman wrote:
Werner,
Update: If I resolve the point as a radius, then compare that radius to the radius of the circle, the problem is solved I believe.
Which problem?
In relationship the above math, is there a boolean or math routine to determine if a X-Y point is inside or outside the circle? Can suggest a tack to take to solve this problem?
Not sure what the problem is!? A point is inside the circle if its distance from the circle center is less than the circle radius.
You may use a test function like this:
Playing around ...
Worksheet in Prime 6 format attached
I like what you did... I would have handled it a bit more rudimentary. But your solution is best.
Thanks!
For those limited to express, here is a set of functions to draw shapes:
And you can stack the result to create complex shapes, such as the CE mark:
Success!
Luc
Thanks!
This looks very handy!
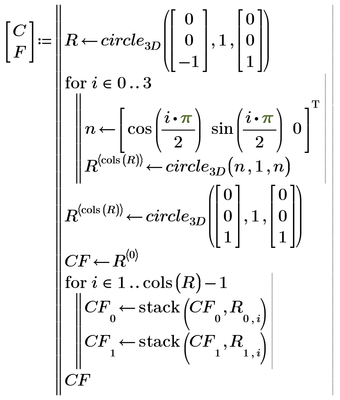
Nice, but why only circles parallel to the xy-plane?
Playing around with the inscribed circles of the surfaces of a dodecahedron
Nice! Thank you. Will work for future programming..
Very cool! Thank you
Thanks show us not x-y plane plot. I try it.
Good eye!
Thank You!
