Community Tip - Did you get an answer that solved your problem? Please mark it as an Accepted Solution so others with the same problem can find the answer easily. X
Electrical engneering uses RMS(Root Mean Square) values for the signal wave forms.
Using the magnitude of the waveforms to be 1, rectangilar , sine and triangle waveforms show the RMS values 1/sqrt(1), 1/sqrt(2) and s1/qrt(3), respectively.
So, find the 1/sqrt(4) and 1/sqrt(5) RMS waveforms with magnitudes = 1.
Also find the average values of each wavefrom.
Advanced problem.
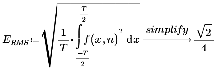
Make the f(x,n). It provides the above answers.
Solved! Go to Solution.
The RMS could easily be achieved using appropriate pulse-width modulation (f1).
For the averages you demand we would have to slightly modify pulse width and magnitude (f2) 😉
The RMS could easily be achieved using appropriate pulse-width modulation (f1).
For the averages you demand we would have to slightly modify pulse width and magnitude (f2) 😉
Using unit step function to chop DC 1/n makes 1/sqrt(n) RMS waveform.
But we can make another waveforms such as,
If some one find new function, please share here your waveform. Any average value is ok. Only RMS of 1/sqrt(n) is need.
Using above function we can make this waveform.
