Community Tip - When posting, your subject should be specific and summarize your question. Here are some additional tips on asking a great question. X
Luc
Very nice. Took me a minute!
Same to you!
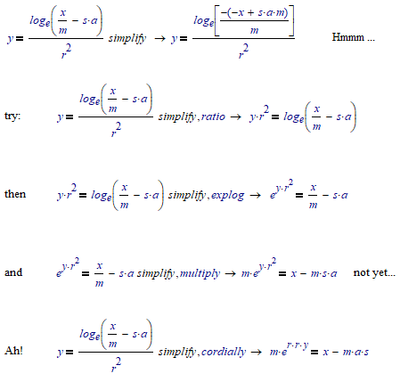
I guess the "cordially" modifier is something painfully missing in Prime 🙂
Merry Christmas to all of you, too!
EDIT: I guess I was wrong - at least we can retrofit "cordially":
Prime 6 sheet attached
On second look to your sheet I find something odd:
How did a capital M transform to lowercase m?
Luc
@LucMeekes wrote:
On second look to your sheet I find something odd:
How did a capital M transform to lowercase m?
Luc
Ooops, well spotted!
Looks like a new Prime bug, but fortunately one that can be fixed 😉
