We are aware of an issue causing pages to load incorrectly for some users and expect a fix soon. Sorry for the inconvenience.
Hello,
I'm trying to solve an ODE of 2nd Degree (Couette flow):
0 = eta * d²u/dy² + dp/dx
This works out well with the common ODE solver from MathCad as Long as I determin a function for p as Long as:
u is a function of y --> u=f(y)
and
p is a function of x --> p=f(x).
Along the x Axis my boundary conditions and my p(x) change so that "u" is no longer just a function just of y but also of x.
I implement this dependency by declaring my boundary conditions to be fuunctions of "x".
But in the end I cannot declare my "u" as a function of "y" and "x" because "y" is the only variable to be integrated over.
Please refer to the attached screenshots.
Thanks in Advance and greetings from Switzerland
It will help if you attach the Prime worksheet.
To protect intellectual property, if necessary, limit the contents of that sheet to the bare minimum of your problem.
Success!
Luc
Seems like what you have is a Partial Differential Equation (or Boundary Value problem). For that you should need PDEsolve, not ODEsolve.
PDEsolve is (still) available in Mathcad 15, for which you have a license due to the fact that you're licensed to Prime (You can install and license Mathcad 15 using the very same license file that you used for Prime).
PTC did not (yet... will they ever?) include PDEsolve in Prime.
Success!
Luc
Hello LucMeekes,
thank You for this hint. I will ask my IT-Support to install MathCad 15.
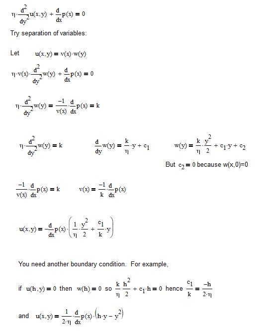
I could be wrong, but doesn't this have the following solution:
Correction: Penultimate line. Where I wrote if u(h,y) = 0 then ... I should have written if u(x,h) = 0 then ...
Alan
@AlanStevens wrote: upsers portal
I could be wrong, but doesn't this have the following solution:
Correction: Penultimate line. Where I wrote if u(h,y) = 0 then ... I should have written if u(x,h) = 0 then ...
Alan
Thanks for sharing useful information with us.. It really helpful to me..I always prefer to read the quality content and this thing I found in you post. thanks for sharing with us..
Hello AlanStevens,
this Sounds like a good plan. In former days I have often considered the viscosity to be a non-linear function of the shear rate which made it a non linear PDE and though, not solvable by Separation of variables. But now, in this case, this might work. I'll give a Feedback once I found time to try it out.
Thank You 🙂
I think your answer should be found here: https://en.wikipedia.org/wiki/Couette_flow
If I use the solution to the PDE given there, I get:
Success!
Luc
Luc, you've selected a solution to an equation with no dp/dx term.
Alan
I guess you are right.
The OP stated he wants to solve a Cuette problem, so I looked it up and found this.
If the problem really does involve two functions: u(y,...) and p(x,...), then a single (partial differential) equation will not do to find the two functions. A set of PDE's is needed. Or one of the two functions is known...
Luc
Hello LucMeekes,
you are completely right. And exactly this 2nd PDE is the continuity equation. I'm about to figure out how to integrate this equation into the Problem.
E.g. I try to integrate over the analytically (by Separation of variables, as described above) found u(x,y)-Funktion and so, calculate the volume/mass -flow. This mass flow Needs to fulfill a certain value. So my p(x) Needs to be approximated to satisfy the volume-flow condition.
I don't know if this is really the way to go.
The solution I suggested requires p to be a function of x only, and to make use of it you certainly need to know exactly what dp/dx is. Since you have a steady state situation I would think it’s not too difficult to relate the pressure drop to the mass flow rate.
