Community Tip - Did you get an answer that solved your problem? Please mark it as an Accepted Solution so others with the same problem can find the answer easily. X
Hello,
Very new to the software which I plan to use as a worksheet for exercises, so the following may be requiring a very simple solution.
I am using Mathcad Prime 9.0.0.0.
I am trying to solve an equation both symbolically and numerically (?):
I don't seem to be able to get a result and I also don't seem to be able to use = instead of :=.
Any help?
Thanks!
Solved! Go to Solution.
Its good (and necessary) that you name the version of Prime you are using.
For future questions you always should additionally attach your worksheet, no matter how simply and small it may be.
You see by the answer of @Cornel that he made an error in the placement of the minus sign because he was forced to retype the expression!
A general remark: If you use units and symbolic evaluations, you always should turn on this calculation option:
Furthermore its necessary to check an recheck the labelling of the variables - the should always read "Variable" or "(Variable)". This is especially necessary because "sigma" is a predefined constant and "m" may also be confused with the unit meter. Prime tries to auto-detect the correct label to use, but it also fails quite often doing so.
The labels Units, Constants and Variables use different color/typeface but this can easily be overlooked, especially the difference between "Constant" and "Variable":
If you provide an equation for symbolical solving you have to use the Boolean comparison equal sign
But even if you apply this, the symbolic engine is not able to find a numeric solution as long as you provide specific values for P.f, sigma.0 and m. I am not sure why 😞
But if you are looking for a numeric result its better anyway to use a numeric method like a solve block with "find" or the "root" function.
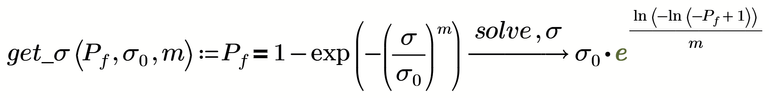
Prime is also able to provide a symbolic solution using just the variables and not the numeric values (you have to either place this before you define your variables or you clear the variables before)
You may turn this also in a function dependent on the three input variables and evaluate it for any input values you like.
You may also use this function for plotting, e.g. to see the effect when changing just one value (here the value of m):
BTW, I used variable mm for the range which is used for plotting because I wanted the already defined variable "m" to remain untouched. I also use "m" in the plot for the vertical marker.
Prime 9 worksheet attached - hope it helps.
You misplaced the minus sign
Once corrected, you should get the answer seen in my reply below
Its good (and necessary) that you name the version of Prime you are using.
For future questions you always should additionally attach your worksheet, no matter how simply and small it may be.
You see by the answer of @Cornel that he made an error in the placement of the minus sign because he was forced to retype the expression!
A general remark: If you use units and symbolic evaluations, you always should turn on this calculation option:
Furthermore its necessary to check an recheck the labelling of the variables - the should always read "Variable" or "(Variable)". This is especially necessary because "sigma" is a predefined constant and "m" may also be confused with the unit meter. Prime tries to auto-detect the correct label to use, but it also fails quite often doing so.
The labels Units, Constants and Variables use different color/typeface but this can easily be overlooked, especially the difference between "Constant" and "Variable":
If you provide an equation for symbolical solving you have to use the Boolean comparison equal sign
But even if you apply this, the symbolic engine is not able to find a numeric solution as long as you provide specific values for P.f, sigma.0 and m. I am not sure why 😞
But if you are looking for a numeric result its better anyway to use a numeric method like a solve block with "find" or the "root" function.
Prime is also able to provide a symbolic solution using just the variables and not the numeric values (you have to either place this before you define your variables or you clear the variables before)
You may turn this also in a function dependent on the three input variables and evaluate it for any input values you like.
You may also use this function for plotting, e.g. to see the effect when changing just one value (here the value of m):
BTW, I used variable mm for the range which is used for plotting because I wanted the already defined variable "m" to remain untouched. I also use "m" in the plot for the vertical marker.
Prime 9 worksheet attached - hope it helps.
