Community Tip - Have a PTC product question you need answered fast? Chances are someone has asked it before. Learn about the community search. X
Dear PTC Community! 
I am working on a big project for university and it is a requirement to insert the values of any variables into the formulas. 
I did that by using the symbolic operator aswell as "explicit, ALL". 
This seems to mess with the calculation results however. My guess is that the symbolic operator is treating the Units as unknowns and therefor not calculating properly. 
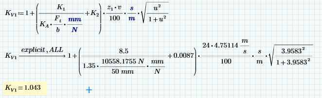
Look at the screenshot to see the problem!
Is there any other way to visualise the values of said variables?
Is this a known issue?
Correct:
Incorrect:
Correct:
Incorrect:
Best Regards
I think this does what you want:
I just found the problem! 
the symbolic operator is using whichever variables are defined. And I had m definded as Module so it used that instead of meters. 
There is a setting in Prime, under "Calculation"=> "Calculation Options" => "Units/Constants in Symbolics", that may be of help with your problem.
It may allow you to have the Module m differ from the unit m.
Success!
Luc
 
					
				
				
			
		
