Community Tip - You can subscribe to a forum, label or individual post and receive email notifications when someone posts a new topic or reply. Learn more! X
Hello, we're trying to solve integral equations, and there's error on getting the final integral value in Mathcad. anyone can direct how to get the following integration done in Mathcad?
There's a following error: More than one independent variable for keyword solve.
Change the label of m and T to variable (they are now seen as a units), and remove the directive solve.
You should see that Prime produces the result of the integral, if it exists, which I expect to be independent of V.
Success
Luc
Thanks for directions, would you mind please do a zoom call the problem still exists and it doesn't give a correct final answer.
Best regards.
Attach the Prime worksheet .
Success!
Luc
Please find attached the pdf file, the Mathcad format is Xps which couldn't attach here.
There are two integrations 1 and 2 which I want the final value and answer and there was no final and correct answer for them.
Best regards
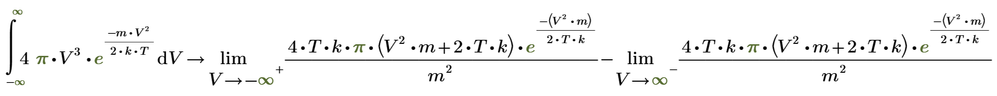
So now suddenly the integration runs from minus infinity to plus infinity instead of from 0 to infinity...?
The answer you your original integral should be
4 . Pi . (k . T / m)^2.
Correction:
8.pi.(k.T/m)^2
Success!
Luc
And here are the results of Prime 9
Here goes:
That's Mathcad 11.
In Prime 7 you get:
You have to apply mathematical knowledge: in the end (at infinity) the exponential always wins over any power, so the limit results in 0.
It is time they build that into Prime...
Success!
Luc
