Community Tip - Stay updated on what is happening on the PTC Community by subscribing to PTC Community Announcements. X
Hi,
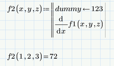
Why I cannot do like f2(x,y,z) as we can see the derivative result is depending on all 3 variables x, y, and z? Should be like that for f2? Prime 10
Solved! Go to Solution.
I would confirm that you found a BUG in Prime 10.
My first guess was that it may be due to wrong labelling of the variables/arguments, but this seems not to be the case here.
The work around using the symbolic evaluation should not be necessary.
The bug seems to concern only functions with more than two arguments, using a function with just two arguments works as it should.
Here is another workaround not needing the symbolics. A local assignment does the trick!
Nonetheless its a BUG which should be fixed!
I think this is perhaps another bug coming along with Prime 10 as in Prime 9 is ok:
Any workaround for Prime 10 to solve this?
I think I found a way by evaluating the expression further, but I am waiting for others opinions if the above behaviour it should be like that in Prime 10:
I would confirm that you found a BUG in Prime 10.
My first guess was that it may be due to wrong labelling of the variables/arguments, but this seems not to be the case here.
The work around using the symbolic evaluation should not be necessary.
The bug seems to concern only functions with more than two arguments, using a function with just two arguments works as it should.
Here is another workaround not needing the symbolics. A local assignment does the trick!
Nonetheless its a BUG which should be fixed!
Here some other workarounds.
Crazy! As long as any local assignment is involved, Prime seems to be happy 😉
But an assignment seems to be mandatory
'kay I emailed them.
The Mathcad powers that be appreciate bug reports sent through PTC eSupport's case logger more than they appreciate my emails, though. It's easier to keep track of problems and to fix them that way.
@DJNewman wrote:
'kay I emailed them.
The Mathcad powers that be appreciate bug reports sent through PTC eSupport's case logger more than they appreciate my emails, though. It's easier to keep track of problems and to fix them that way.
It sure may be easier for them, but not for the user wanting to report the bug.
So the question is who should have the inconvenience - the company that has a commercial interest in improving its product or the user who has stumbled across a bug and is willing to report it 😉
I would still vote for a low-threshold option to report bugs that is open to all users, even if it means extra work for the staff.
Also, Werner, with regards to the low-threshold option, you should probably give that its own thread on PTC Community Feedback:
https://community.ptc.com/t5/PTC-Community-Feedback/bd-p/ptccommunityfeedback
@DJNewman wrote:
Also, Werner, with regards to the low-threshold option, you should probably give that its own thread on PTC Community Feedback:
https://community.ptc.com/t5/PTC-Community-Feedback/bd-p/ptccommunityfeedback
No, sorry. I honestly believe that if PTC really would have a true interest in improving their stuff, that kind of low-threshold bug reporting would already exist for a long time. As we know, it doesn't and a thread in the community feedback would not make any difference.
But what is the procedure for sending a bug report to ptc by the user?
In the past I was looking at this but as far as I remember at some point I was requested to sent/write some information about my license, Mathcad product code or something like this in the bug report. And I gave up at that time due to the fact that my Mathcad Prime and taking care of licesing is provided by the company at which I work, and unfortunetly I do not have the product code and access at all installing Mathcad informations. I am not sure how easy will be to request the Mathcad product code as then I will be asked by the IT team and cybersecurity guys from my company to explain and explain why I need these sensitive info, what I will do with these info and for sure they will be with eyes on me. I am not sure even if I will receive the product code by my company so easy. I do not know either what type of licesing they are using, because there are also other people as well in my company that are using Mathcad (so not just me), Mathcad installation and setup the license needed by Mathcad is done by company tool installation without employer to need to introduce the product code and stuf like this. I wish the procedure for reporting a bug to be more simpler and didn't ask for so much informations. I think it's more important that the PTC to be aware of the bugs as it's also in PTC interest to improve this tool, and not people to struggle and be frustrating on the procedure of reporting the bug and in the end people to give up to report the indeed found bugs and in the end PTC to not know about all these kind of bugs that users found. I belive that a user that bought his personal Mathcad Prime can have access to his product code and all the information more easy as it's his personal paid license, and can share this info more easy. But in the case of people which work at companies and where Mathcad and licensing is provided by the company is somehow not so easy to have access to product code and other licensing and buying informations of the respective company software, as for the usual employeer of company which is using Mathcad has no easy visibillity at these informations and anyway is not allowed to share these informations without being accompanied by IT and cybersecurity guys and requested to explain and explain...and without having to receive their acceptance to upload the produc code somewhere.
It's a process, but it's not as difficult as you're describing.
https://support.ptc.com/apps/case_logger_viewer/cs/auth/ssl/log
The number you ultimately need to give is your Service Contract Number. Mathcad, in-product, will tell you your Service Contact Number in the Options on the page where you configure your licence in the top right corner.
Ok, I am able to see my(company) Service Contract Number in the License tab, but I see that Mathcad is requesting me to write also Customer Number, and I am unable to see this number from Options -> License.
I don't know if this is a PTC thing because my access to eSupport will be different than yours, but if you click your name in the top right corner of eSupport, it should say the same of your company with a number in parenthesis. That's your customer number.
I cannot see what you said...
This account was created few years ago when I did not work at the company. So, at that time when I created this account in the creation process I did not introduced any customer number, etc.
From searching on internet I see this :
But I do not have access at this thing, as the buying the Mathcad license of my company was not my business. And I am not sure if I can received this Customer Number from my IT guys (there is an entire process, and usually there are dedicated persons responsible to take care of making all the necessary things from buying the Mathcad licenses of my company, introduce in company system, etc). Usually, the employer which only uses Mathcad in company does not have access at this info like Customer Number, as its a purchasing and IT processes involved, so IT and purchasing people are dealing with this kind of info and perhaps know it. Bu t I am not sure how easy I can received this info of Customer Number from my IT, cybersecurity guy.
Try talking to the IT guy and see what happens. I'm pretty sure all he needs to do is log into eSupport and he can give you the number; it shouldn't be an arduous process for him.
There's probably something you can do in eSupport about this situation, but at this point, my knowledge of how it works is quite, quite limited.
(I'm a marketing guy not a customer support guy!)
