Community Tip - Have a PTC product question you need answered fast? Chances are someone has asked it before. Learn about the community search. X
Hello Everyone.
From :
refer to :
https://community.ptc.com/t5/Mathcad/Gauss-Jordan-rref/m-p/273580#M106899
How to correct Gauss_Jordan.mcd for determinant ?
Thanks in advance for your time and help.
Best Regards.
Loi.
Solved! Go to Solution.
Just the determinant?
So how about a small modification in Alvaro's RREF?
Sure could be done more efficient, but for a quick hack it seems to work OK. No error check (matrix square, etc.) is done. I simply changed the program to return 0 if no suitable pivot element could be found.
It also works symbolically, at least as long as only numbers are used. It fails symbolically when variables are used because the if-conditions can't be evaluated symbolically without knowing their actual values.
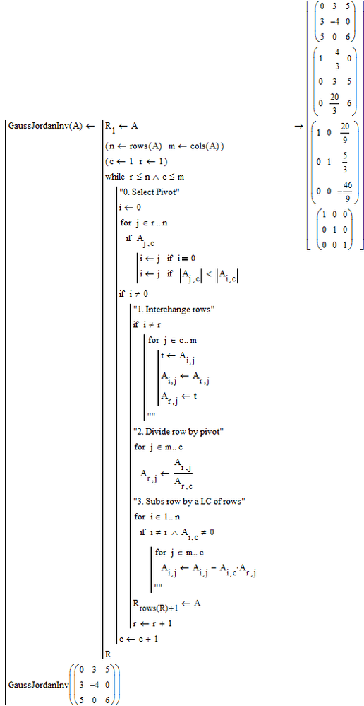
Your code is ok. But your data A is not able to make A^-1 because the 0 0 3 9 and 0 0 5 15 are same.
Many thanks for your response, Ttokoro. My Mathcad 15 with your code is the following :
___
But I still got stuck to keep going to write a code for symbolic evaluate a DETERMINANT of a matrix above. My question is "How to write a code for SYMBOLIC evaluate a DETERMINANT of a matrix and with a Gauss-Jordan method or any other idea."
Best Regards.
Loi.
And a similar code using Gauss-Jordan method, in the forum, is :
But I would like to have a symbolic evaluate result is : ==> 0
I know what you mean, Ttokoro, but my question has ONLY mentioned about " How to WRITE a CODE for calculate a DETERMINANT evaluate SYMBOLICALLY ? " and has NOT mentioned about how write a code for INVERSE of a matrix in this moment .
And the above GJ([ matrix ]) ===> 0 , my Mathcad15 say "undefined" :
Best Regards.
Loi.
_________________________________________________________________________________________________________________
Just the determinant?
So how about a small modification in Alvaro's RREF?
Sure could be done more efficient, but for a quick hack it seems to work OK. No error check (matrix square, etc.) is done. I simply changed the program to return 0 if no suitable pivot element could be found.
It also works symbolically, at least as long as only numbers are used. It fails symbolically when variables are used because the if-conditions can't be evaluated symbolically without knowing their actual values.
I really appreciate your time and help, Werner. 😊 🤔 🙄 especially your explanation.
And I guess now it's time keep going with Alvaro's RREF and modify his CODE for inverse of a square matrix. ( I guess I would still be helped more ... ).
Thanks again,
Best Regards.
Loi.
A small modification in Tom Gutman's det( ) ?
for symbolic evaluate result.
