Community Tip - Did you get called away in the middle of writing a post? Don't worry you can find your unfinished post later in the Drafts section of your profile page. X
Hi,
I could not change Matrices output unit as deg.
I am using mathcad prime9
GSVP
Solved! Go to Solution.
Prime does not allow to set the unit for whole matrix because this would also mean to apply a unit to the first column which are text strings. You can't assign a unit to a string.
On the other hand Prime still does not allow to set units inside of a matrix (its not allowed in Prime 11 either) which is a feature request brought up quite often. Think of something like
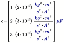
We can only set the unit after the matrix and this would apply for ALL the values in the matrix, like
Not useful. We sure would need the option to set the units individually inside of the matrix and it would be nice if there would be an option to set the unit for a whole column or a whole row in one go. But I don't know it PTC has plans to implement that kind of improvement.
At the time you just can try to find a workaround and it depends on your need which way to go.
You could display each column of your matrix separately. Here its no problem to apply the unit deg to the second column:
Or you display the matrix but strip the unit, just showing the number representing the angle in degree:
You may add a third column with strings indicating the (pseudo)unit degree
Not really as nice as we would like it to be, but the best I could come up with.
Just for display purposes you may create a vector of strings like
It is only by chance that the strings here are somewhat the same length. There are no formatting options, you would have to program them yourself.
Prime does not allow to set the unit for whole matrix because this would also mean to apply a unit to the first column which are text strings. You can't assign a unit to a string.
On the other hand Prime still does not allow to set units inside of a matrix (its not allowed in Prime 11 either) which is a feature request brought up quite often. Think of something like
We can only set the unit after the matrix and this would apply for ALL the values in the matrix, like
Not useful. We sure would need the option to set the units individually inside of the matrix and it would be nice if there would be an option to set the unit for a whole column or a whole row in one go. But I don't know it PTC has plans to implement that kind of improvement.
At the time you just can try to find a workaround and it depends on your need which way to go.
You could display each column of your matrix separately. Here its no problem to apply the unit deg to the second column:
Or you display the matrix but strip the unit, just showing the number representing the angle in degree:
You may add a third column with strings indicating the (pseudo)unit degree
Not really as nice as we would like it to be, but the best I could come up with.
Just for display purposes you may create a vector of strings like
It is only by chance that the strings here are somewhat the same length. There are no formatting options, you would have to program them yourself.
