Question
Problems with "solve" Mathcad 10
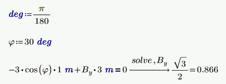
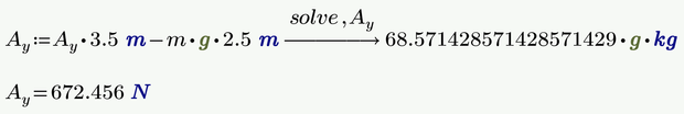
Hi everyone, when i got a new laptop and donwloaded mathcad again, im suddenly having different issues with it i didnt before. Like when using the solve function it cant give me the answer if i use units in 1 scenario. In the other it gives me the answer as "cos(30deg). Anyone knows if its something i can fix?

The one above is supposed to give around 673N.

This one is supposed to give 0,87kN.

