Community Tip - You can subscribe to a forum, label or individual post and receive email notifications when someone posts a new topic or reply. Learn more! X
Hi all,
I'm somewhat new to MathCad.
I'm trying to use a solve block to find a solution to several co-planar triangles that have some common sides/angles. I've got it drawn up in CAD so I can check my calcs. In the attached sheet, everything up to the solve block is verified.
I ended up with ten variables and ten equations. I entered all this in a solve block (very bottom of the sheet). I'm getting a "These units are not compatible" error.
It's possible my math is wrong or that some of my equations are redundant but before I dig into that, can anyone see any obvious error I made? Like in the syntax or units?
Thanks,
Solved! Go to Solution.
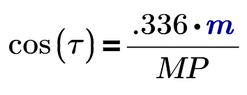
There was a unit mismatch in this equation (I now added the unit meter in the nominator)
Now the solve block works, but the results are non-real
So you may want to check your equations or your initial values.
There was a unit mismatch in this equation (I now added the unit meter in the nominator)
Now the solve block works, but the results are non-real
So you may want to check your equations or your initial values.
Thanks! that's what I was missing. I'll dig deeper in my equations.
