Community Tip - You can subscribe to a forum, label or individual post and receive email notifications when someone posts a new topic or reply. Learn more! X
Hi,
I get a "No Solution is found" from the find() in this solve block in Mathcad prime. Can someone please tell me where I'm going wrong? (code attached)
I have noticed that if i put the initial guess in for 'h' as the answer then the solve works but this defeats the object somewhat.
Thanks in advance!
Solved! Go to Solution.
Hi,
Have included solving for the root of an equation for you.
Cheers
Terry
Hi,
It helps to plot the function to see what is happening and why it cannot solve.
First write a function of "h" to plot.
Then plot the function foo.
There are three good rules when working with a block Solve.
1. Before solving the equation in vector form - solve it in scalar form
2. Before Solving Inequality (>=, <= etc) - Solve Equality (=)
3. If you have one equation, not several, then use not a block Solve, but a function root
Hi,
Have included solving for the root of an equation for you.
Cheers
Terry
Yes, the "root" approach is a much better option. I hadn't used this before. Thank you for sending the example. It's exactly what I'm looking for.
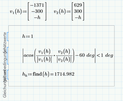
The solve block works exactly the way you had set it up but you can't simply use v1 etc. in your constraint because these are already vectors with h=1 and not dependent on h anymore.
You have to define v1 and v2 as functions dependent on h (I prefer to do this outside of the solve block)
If you want to know the h for exactly 60 degree you may use the symbolic solve
and of course you could also use the root command
