Community Tip - Stay updated on what is happening on the PTC Community by subscribing to PTC Community Announcements. X
Hello everyone
I'm very new to Mathcad and I'm trying to learn my way through it so excuse me if my question seems kinda obvious.
I've been trying to make Mathcad rewrite an equation for me.
Here I want to rewrite the equation in terms of l but I can't figure out how, could someone help with that please?
Please attach your Mathcad Prime worksheet.
Thanks. But how can I rewrite the equation of f to make it l = the rest of the variables?
Hi, thanks for your quick reply. I don't think that I made my question quite clear.
Refer to the photo attached.
I wanted to ask if Mathcad can rewrite the equations from 1 to 2 but without me rewriting it manually.
Would this be of help?
Yes, perfect thanks!
However for some reason it's not showing the same results you got and outputs the complex as well.
Which version of Prime are you using?
BTW, you should use clear.sym and not clear as otherwise you would clear the varaibles for numeric evaluation, too, which would make it senseless to define it in first place 😉
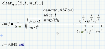
clear.sym makes the variables "unknowns" for the symbolic engine only and thats the reason we can still evaluate l numerically and see the result 9,845 cm.
My screenshot was done with Prime 6 using the new symbolic engine.
When I switch to the older symbolic engine (muPad, the one also in Prime 5 and below), I get the message of the result being too large to display.
So I can't duplicate what your screenshot shows.
Anyway, in my case with muPad it helped to to state "assume,ALL>0" instead of "assume, ALL=real".
The result isn't that nice looking, though:
and its not getting significantly better using "simplify"
EDIT: As my version could not open the Lab7 worksheet you posted, I assume you are using Prime 7. I tried "assume,ALL>0" in Prime 6 with the new symbolic engine (the only one available in Prime 7) and got a strange error.
I assume that PTC had worked on the new symbolics and changed one thing or another and that being the reason, you still see all three solutions while I don't, even though I use the same engine, but in P6.
I can't try as I don't have P7 installed, but you can experiment with "=real" and/or ">0" either with "ALL" or using single variables, like "assume, l>0, f=real" etc.
Controlling the way symbolic results are presented has always been a challenge in Mathcad, and it doesn't seem to have changed to this day 😉
7.0.0.0
@VladimirN wrote:
Can you upload your worksheet?
Sure! Here it is. Its Prime 6 using the new symbolic engine.
I edited my answer above as I realized that the OP was using P7 and added some comments.
My sheet is in P6 and while I used already the new symbolic engine there, things seem to have changed from P6 to P7.
Maybe ALL>0 works in P7 even though it doesn't in P6.
Taming the symbolic evaluation can be very tricky (and often enough impossible) and usually degenerates into trial & error attempts.
Maybe instead of "assume, ALL=real" using only "assume, l=real" does the job (at least P6 is happy with it).
Interestingly, in version 7.0 I have a different error with "ALL>0" 🤔.
@VladimirN wrote:
Interestingly, in version 7.0 I have a different error with "ALL>0" 🤔.
Too bad! So its looks like in P7 we cannot achieve the desired output as demanded by Faris?
I guess R&D is working just a lot on the symbolic engine as at the time being the old muPad still is superior in many cases. But there also are situations where the "new" engine performs better. And when many changes were made, not everything is going better 😉 If R&D really is scanning the forum, as Stuart sayd, they will hopefully take notes.
Whish we could still have Maple under the hood as was the case in MC11 😞
Here is the result (in PDF file) that I got when I just opened the worksheet in Prime 7 version and completely recalculated it. When I change "All=real" to "l=real" I get the same result unchanged. If I assign "l>0", then I get an error - "The result of this symbolic operation is too long to display...".
Too bad, so the hope is on Prime 8++
There are different things to fix and improve for future releases 😉!
Hey everyone, so yeah non of these attempts worked with me. I guess their symbolic engine is not there yet, but thank you for your help.
