Solved
Where do imaginary solutions hide in the graph?
- June 12, 2023
- 2 replies
- 1944 views
Hello,
The question is related to finding of solutions of the below equation:

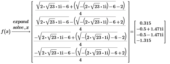
Solution with solve:

Solution with root:



From the graph we see that the graph cuts the x-axis only in 2 points. Where can we see the other 2 solutions (which are the imaginary solutions) with the root solution on the graph that solve gives above? Or can't we seen on the graph these 2 imaginary solutions of f(x) with the root function/solution?
How to find with root function the imaginary solution of the function f(x)?
Mathcad Prime 8 file attached.
Thank you.


