Skip to main content
1-Visitor
November 5, 2010
Question

A confusing integration encountered in chemisoption calculation

  • November 5, 2010
  • 3 replies
  • 8884 views

Hi, everyone

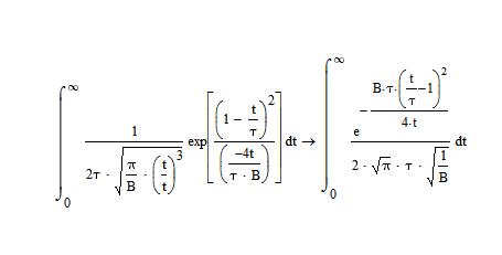
i encountered a integration recently, which cannot be evaluated correctly in my mathcad. i solved this problem with maple. can anybody give me some suggestions on how to integrate it in mathcad?

here is the integration, mathcad doesnot want to give a definite answer

confused integ mcd.JPG

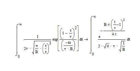
and i have to resort to maple, and got,

confused integ mw.JPG

3 replies

1-Visitor
November 5, 2010

Fan CG wrote:

Hi, everyone

i encountered a integration recently, which cannot be evaluated correctly in my mathcad. i solved this problem with maple. can anybody give me some suggestions on how to integrate it in mathcad?

here is the integration, mathcad doesnot want to give a definite answer

confused integ mcd.JPG

and i have to resort to maple, and got,

confused integ mw.JPG

Maybe my old eyes deceive me; but it looks like (in the Mathcad expression you have (t/t)^3 {not t/tau)^3 in the denominator of the first fraction.

Since I've still got version 11 (with Maple!) it won't help if I check.

19-Tanzanite
November 5, 2010
Maybe my old eyes deceive me; but it looks like (in the Mathcad expression you have (t/t)^3 {not t/tau)^3 in the denominator of the first fraction.

Good observation, but it doesn't help. Neither the MuPad engine in MC15 nor the Maple engine in MC11 can solve the integral.

12-Amethyst
November 5, 2010

Fan CG,

I think f.kohlhepp is correct, you have a t instead of tau;

However, I think you have found a new way to calculate the number 1, clever.

Joking aside, the maple solution reduces to 1. I cannot get a symplic solution in Mathcad either, but numerically I get 1, or very close to 1 for a wide range of values of tau and B.

Maybe it's me, but it seams that Mathcad will only go so far symbolically, I must complete by eye. Mathcad does not simpify the Maple solution to 1, and neither, apparently, does Maple.

Wayne

19-Tanzanite
November 5, 2010
Joking aside, the maple solution reduces to 1.

No it doesn't.

numerically I get 1, or very close to 1 for a wide range of values of tau and B.

You need to try a wider range

Maybe it's me, but it seams that Mathcad will only go so far symbolically, I must complete by eye.

Sometimes the symbolic processor does need a little coaxing to get it to the solution, and sometimes it does not find the solution, even when one exists. You should be very careful about "completing it by eye" though, because maybe it's not the symbolic processor that is wrong.

Mathcad does not simpify the Maple solution to 1, and neither, apparently, does Maple.

You are making a mistake that is very common. You are making implicit asssumptions about the domain of tau and B, but the symbolic processor does not do that. You are assuming they are both real and positive, but the symbolic processor does not even make the assumption that they are real, let alone positive.

12-Amethyst
November 5, 2010

Thanks, Richard

you humbled student (wheather you want one or not)

FanCG1-VisitorAuthor
1-Visitor
November 5, 2010

thanks, f.kohlhepp and Richard. Maybe mathcad cannot solve this.

12-Amethyst
November 5, 2010

Don't give up so fast.

See the attahced, not very clean, just messing around, but I think you can solve the problem with more information.

For a real solution, and for real values of B and Tao, mathcad can find a solution.

Do the physics of the problem add any information that can be used? I am sure it does.

19-Tanzanite
November 6, 2010

Nice job of getting the solutoin for two parts of the domain. If you simplify your solution for those domains you will find that you get the same answer as the Maple solution simplified over those domains.

I agree that tau an B cannot be zero, but if the Maple answer is correct then your statement that B and tau must be of the same sign to get a real solution is not correct.