Skip to main content
Best answer by Werner_E

No answer - that's a pity!
But no matter - anyway, to conclude for what ever it may be worth, here is a small animation made a few days ago, which shows the position of the possible solutions for P and the graphs of the distance functions at variable distance CD.

have fun!

ani2.gif

12 replies

25-Diamond I
August 24, 2019

Just noticed that an easy way to see that is when you try to add up the four angles you calculated - they should add up to 360 degree but they don't.

21-Topaz II
August 24, 2019

I apologize, you are right. Ich bitte um entschuldigung! 

25-Diamond I
August 24, 2019

@-MFra- wrote:

I apologize, you are right.


Absolutely no reason to apologize for a mistake that can happen to anyone.
In fact I wasn't absolutely sure about my solution which was developed rather quick (and dirty) but after I checked with the angles as shown in the picture above as a consequence of our discussion, I feel pretty sure now.

Maybe you find the time to solve, too, and confirm.

21-Topaz II
August 24, 2019

Genau jetzt habe Ich diese solution gefunde, was glaubest du daruber?

risposta a ValeryO 4.jpg

25-Diamond I
August 24, 2019

Its hard and boring to debug just a pic, but as far as I see you have five unknowns to solve for but only 4 equations. This would mean that there would be an infinite number of solutions and the searched for solution would be amongst them, but is not necessarily the one Mathcad solve block comes up with.

BTW, are you sure that those 4 equations are independent from each other? If they are not, additional degrees of freedom comes into play.

 

Do you get different results if you change the guess values, lets say x:10 for example?

 

25-Diamond I
August 24, 2019

Just to be on the safe side I solved the problem with a completely different approach compared to my first (P as intersection point of two circles as mentioned in one of my replies above) and got the very same result as with my fist method. So I assume its the correct result.

B.png

EDIT: This second approach can be significantly simplified as we already know one of the two points of intersection (B in my nomenclature). Therefore we only need to mirror B at the connecting line of the two circle centers to get P.

21-Topaz II
August 24, 2019

Here I added the condition that the sum of the areas of the single triangles is equal to that of the rectangle:

risposta a ValeryO 5.jpg

21-Topaz II
August 24, 2019

Hi,

risposta a ValeryO 6.jpg

25-Diamond I
August 24, 2019

So you see that changing the guess value changes the result significantly.

Using your method you can get a myriad of different "solution" but only one of them is the correct one. Unless you add additional appropriate constraints your solve block will hardly find the correct one only.

The 5 equations you have so far are not independent!

If two of the four lengths x,y,z,t are given, the other two can be already calculated.

I just posted a different approach and again arrive at the solution I found first. So I guess we can assume that this is the correct one πŸ˜‰

25-Diamond I
August 24, 2019

I approached the problem in three different ways and also tried to derive a symbolic solution from each.

Its interesting to see the different ways Mathcads symbolic is able to display the result when asked to simplify.

B.png

Mathcad 15 file attached.

24-Ruby IV
August 25, 2019

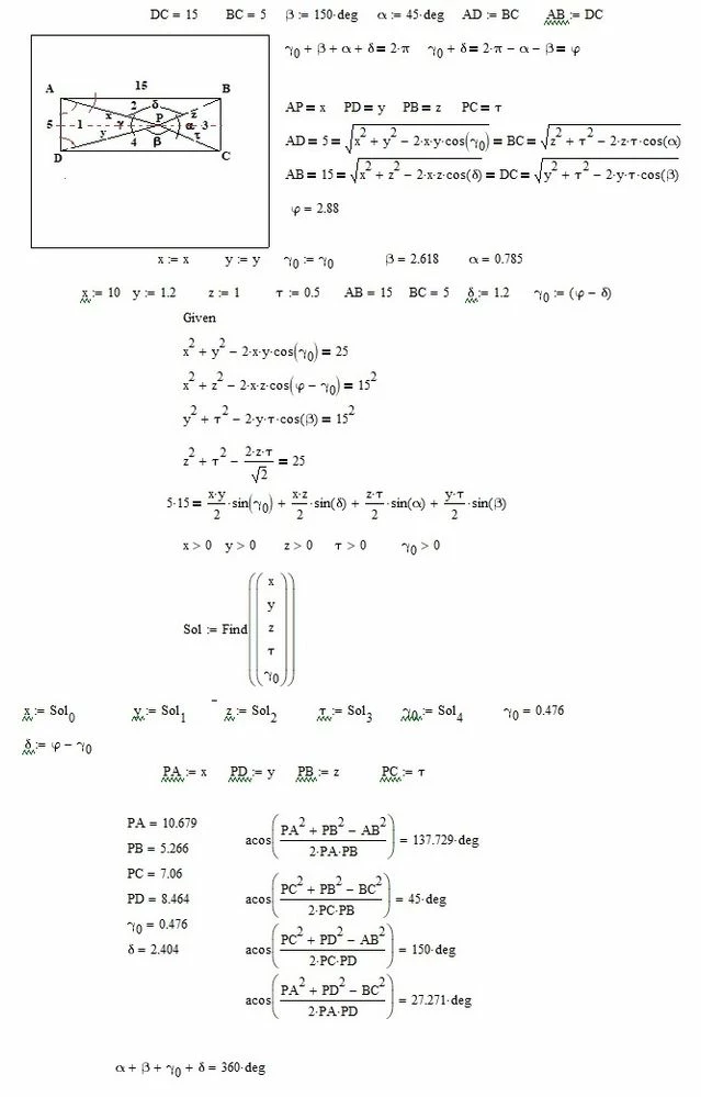
Numeric solution from Pythagoras, Hero and... Valery

rec-solution.png

I have a dream - to write a problem book for school, when the problem in mathematics, physics, chemistry, etc. is solved hybridly - by attracting the student’s head and mathematical packages. Who wants to help me!

 

25-Diamond I
August 25, 2019

@ValeryOchkov wrote:

Numeric solution from Pythagoras, Hero and... Valery


So Heron is your hero ? πŸ˜„

 

Your approach is very similar to what Francesco came up with - he just used other formulas for the triangle areas. As your attempt shows, it looks like the four equations stemming from the cosine law are independent (so my guess that Francesco's wrong result is because of still dependent equations was wrong).

 

I had another look at his last approach and I think he got a wrong result with his last try where he added the comparison of the areas because he used sin(delta) with a wrong, fixed value for delta in the solve block.

Probably he will get the correct result when he replaces sin(delta) by sin(2pi-alpha-beta-gamma0) or by sin(phi-gamma0) as it seems that he had defined phi:=2pi-alpha-beta somewhere outside of the picture he posted.

 

Can you provide a symbolic solution using your approach or at least an exact numeric one (with roots, etc.)?

 

In real Mathcad we can evaluate a solve block also symbolical and for reasons beyond me your solve block returns non real values if I try.

B.png

The symbolics switches into float-mode and returns those useless non-real numbers. If I add the constraint AP>0 nothing changes, if I add AP>1 the solve block fails 😞

Any ideas whats going on and how to get a symbolic result with your approach, too?

BTW, if I put your five equations in a vector and use the symbolic "solve" command, then no solution is found.