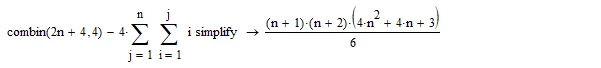
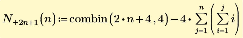
Find the number of rectangles 2.
I find very good puzzle from YouTube and show it. Then I made new puzzle to find the number of rectangles of stair-like figures shown here. How to calculate the total number of rectangles included in this figure? I have no formula to calculate this answer, now.
First one, m=3 has 11 rectangles.
Second one, m=5 may have 54 rectangles.
How about m=7 and m=9?






