"Fun" Results for Mathcad's New (and Legacy) symbolic solver (Mathcad Prime 6)
Hi All.
My students and I have been getting some entertaining results with the solver arrow for the example problem below.
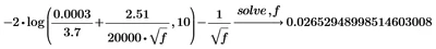
With the "new" and "legacy" symbolic solver the results are somewhat "brittle" almost on par with the picture you get when playing with the ariels of an old-style TV set. The correct answer should be about 0.0265.
For example a common result popping up for the NEW solver is this one (but the letters after the % can differ). Note also that you can get the "Red Box of Shame™️" with some versions (the type of error in this case is highlighted.

When using the legacy solver it can be more likely to behave and give the correct answer. It also sometimes will give the correct answer but add a very negligible imaginary component.

Ideas her are welcome and PTC probably should give a prize for the most bizarre answer anyone can muster with this problem.
Cheers and Thanks
Bill Capehart
SD Mines


