Skip to main content
1-Visitor
November 22, 2025
Question

How to get the result as a column instead of a row?

  • November 22, 2025
  • 2 replies
  • 1544 views

OO_14410365_0-1763840308099.png

 

2 replies

23-Emerald V
November 22, 2025

Unfortunately, I only have Express, so I can't help with the presentation of the symbolic result.

 

Perhaps, try putting the variables in a vector?

 

            [x_1]

solve, |y_1|

            [z_1]

 

You can assign the result to a variable and transpose it.

 

However, is there any particular reason you want to use the symbolic processor to solve the equation, when a numeric solution seems to give reasonable results?

 

2025 11 22 A.png

 

Stuart

15-Moonstone
November 22, 2025

Stuart's got it: simply assign result to a vector and then take transpose.  P11 file attached.

rgunwaldsen_0-1763849009158.png

 

25-Diamond I
November 23, 2025

The symbolic solve will always provide the solutions row-wise and there is no option to set which will change this behaviour. You will get further rows for non-linear systems and each row represents a solution set.

I also think that in case you are just looking for the numeric values its better to use a numeric method and not the symbolics. Stuart has already shown some ways. Other options are the usage of the "lsolve" function

Werner_E_0-1763859031709.png

or using a solve block with "find" (you have to provide arbitrary guess values) which displays its results column-wise as you like it.

Werner_E_1-1763859098205.png

 

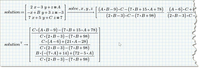
Using the symbolics makes sense if you are looking for symbolic solutions (in case your system contains some variables)

Werner_E_3-1763859285115.png

and, yes, in this case displaying the results column-wise sure makes sense 😉

 

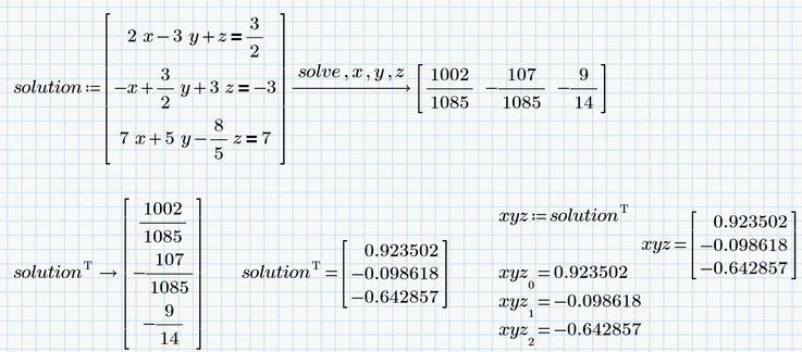
Another reason for using  the symbolics could be that you want 'exact' results, displayed in fractions (and maybe pi, e, etc) and not a decimal approximation. Unfortunately the symbolics automatically switches into float-mode as soon as just one decimal point is present. So you must also provide your information with fractions, i.e. 3/2, even though 1.5 is also an exact value.

Werner_E_4-1763859563707.png

 

You may also assign the result of the symbolic "solve" a row vector (1 x 3 matrix) with three variables which you then can evaluate symbolically or numerically and use for further calculations.

Werner_E_5-1763859749872.png

 

EDIT: If you really want to use the symbolic engine and insist on a column vector right from the start, there is a way to do it: You have to use a solve block with "find" which is evaluated symbolically:

Werner_E_0-1765162541570.png

 

23-Emerald V
November 23, 2025

Will the symbolic processor accept a vector [x,y,z] as a parameter to the solve keyword?

 

(where [x,y,z] is a column vector)

 

Stuart

 

(Unfortunately, lsolve is a Premium function not available to us lowly Express users, and I'm getting loath to suggest things I can't check)

25-Diamond I
November 23, 2025

@StuartBruff wrote:

Will the symbolic processor accept a vector [x,y,z] as a parameter to the solve keyword?

 

(where [x,y,z] is a column vector)

 


Yes, the symbolics accepts the list of variables as I did, but also a vector. It does not matter if its a column or a row vector.

Werner_E_0-1763872201886.png

Werner_E_1-1763872230801.png

It also accepts a mixture

Werner_E_2-1763872273913.png