Question
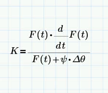
Infinitesimal difference in t i.e. dt
- March 17, 2013
- 1 reply
- 2177 views
I am playing around with the symbolic engine in Mathcad Prime 2. Although my need is trivial (and can be done by visual inspection) despite this I cannot find a way to instruct Mathcad to do it. What I need is a way to insert an infinitesimal difference operator into an equation and multiply it by the differential operator. I accept that I may have overlooked something that others may find obvious but nevertheless I cannot achieve it. What I want to do is to multiply each side of the the following equation by "dt" and then integrate each side to find the function. The integration part is also trivial but the multiplication part escapes me. If there is an obvious work-around pray tell.
This is the example need:

