Linear interpolation from the column of loop output
- November 29, 2025
- 3 replies
- 753 views
Hi there!
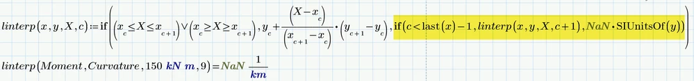
I want to get one value interpolated from the parameter, obtained from the calculation routine.
The goal is to perform interpolation of the curvature value Curvature (Alef, the second output's result) as a function of the bending moment value (Moment, the first output's result) from the given value of M_fact.
By using the "linterp" function, I got stuck with the error message:
"The elements in this vector must be in ascending order".
After reviewing the relevant topic on the PTC forum, the only possible solution was to start the list of matrices at 1, yet my attempt to set ORIGIN:=1 hadn't worked.
I use the Prime 10.0.0 version of the software.
The file with the problem is attached.
I'd be very appreciative of any assistance and advice regarding the issue.







