Matrix manipulation MathCad
- October 25, 2023
- 3 replies
- 4470 views
Hi,
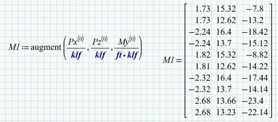
I have some questions about the attached file (questions are highlighted yellow on page 3 & 4). I'm trying to extract columns from my matrices Pz, Px, and My and combine them into new matrices, each with a Pz, Px, and My column, plus zero values for Py, Mx, and Mz.
My first question: why do I lose my units when I convert the nested matrices Pz, Px, and My to regular matrices with the method I used?
Second question - in order from easy to difficult: How do I create one matrix taking the first column from Pz, Px, and My? How to create three matrices with all columns extracted one by one? How to keep the number of matrices flexible in case columns in Px, Pz, and My are removed or added? I'd really like to understand how to do this for future projects as well.
Below an image from Excel on what I'm trying to achieve.

Thank you!




