Solved
ode with unknown initial conditions
- October 21, 2015
- 2 replies
- 5892 views
Hi everyone,
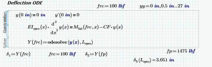
I have a problem solving an ODE. I want to calculate the deflection of a beam, but at the beginning I don't know the force and the force application Point. So I make a guess of it. With a good guess or with iterations (very much work) I can solve it. But because I have many situations like this, I want to do it automatically.
In the attached file I have simplified the problem and explained it more detailly.
Thank you,
Stephan





