Skip to main content
1-Visitor
August 4, 2014
Question

Partial differentiation

  • August 4, 2014
  • 2 replies
  • 2275 views

Is there a way in Prime 3 to write partial differential equations?

2 replies

1-Visitor
August 4, 2014

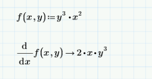
In Prime 3.0, you can use the regular derivative symbol to achieve a partial derivative. The notation will obviously be different, but the function will be the same.

7-23-2014%2B8-18-59%2BAM.png

1-Visitor
August 4, 2014
WileyKirk1-VisitorAuthor
1-Visitor
August 14, 2014

Thanks for the information. It is unfortunate that Prime 3 doesn’t support partial differentiation using the more conventional mathematical format that has been in place for about 100 years! Also, is there anyway of writing and handling inexact differentials in Prime 3? This mathematical procedure is important for use in many subjects such as Thermodynamics.

Does PTC plan to address these weaknesses in Prime 3 in the near future? This software would find much wider use in advanced university science, engineering, and mathematics classes if some of these weaknesses were properly addressed and eliminated.